Consider the data on new orders for computers and electronic

Consider the data on new orders for computers and electronic products and the M1 money supply for the years 2011 through 2014.

Year

Month

New Orders for Computers and Electronic Products

M-1 Money Supply

2011

1

19222

1855.6

2011

2

20727

1874.7

2011

3

24893

1892.0

2011

4

19375

1897.8

2011

5

20152

1934.3

2011

6

25075

1947.0

2011

7

18615

2001.5

2011

8

21289

2112.9

2011

9

27014

2126.0

2011

10

22179

2137.4

2011

11

20761

2172.0

2011

12

27818

2168.2

2012

1

19447

2202.3

2012

2

23043

2212.2

2012

3

26734

2228.7

2012

4

21897

2245.3

2012

5

22403

2251.0

2012

6

24942

2262.3

2012

7

19365

2314.6

2012

8

20240

2346.5

2012

9

25478

2383.6

2012

10

20790

2415.5

2012

11

20362

2423.2

2012

12

27841

2457.7

2013

1

17393

2467.6

2013

2

18725

2470.4

2013

3

22919

2474.8

2013

4

19560

2511.0

2013

5

20333

2522.0

2013

6

24619

2517.9

2013

7

18065

2545.6

2013

8

18487

2557.3

2013

9

24877

2578.8

2013

10

20410

2620.2

2013

11

20194

2622.2

2013

12

24955

2654.5


Using the same data, develop a causal model forecast using the M1 Money Supply data as the independent variable.

Year

Month

New Orders for Computers and Electronic Products

M-1 Money Supply

2011

1

19222

1855.6

2011

2

20727

1874.7

2011

3

24893

1892.0

2011

4

19375

1897.8

2011

5

20152

1934.3

2011

6

25075

1947.0

2011

7

18615

2001.5

2011

8

21289

2112.9

2011

9

27014

2126.0

2011

10

22179

2137.4

2011

11

20761

2172.0

2011

12

27818

2168.2

2012

1

19447

2202.3

2012

2

23043

2212.2

2012

3

26734

2228.7

2012

4

21897

2245.3

2012

5

22403

2251.0

2012

6

24942

2262.3

2012

7

19365

2314.6

2012

8

20240

2346.5

2012

9

25478

2383.6

2012

10

20790

2415.5

2012

11

20362

2423.2

2012

12

27841

2457.7

2013

1

17393

2467.6

2013

2

18725

2470.4

2013

3

22919

2474.8

2013

4

19560

2511.0

2013

5

20333

2522.0

2013

6

24619

2517.9

2013

7

18065

2545.6

2013

8

18487

2557.3

2013

9

24877

2578.8

2013

10

20410

2620.2

2013

11

20194

2622.2

2013

12

24955

2654.5

Solution

b = (xy    - nxy)/( (X^2) – n(x^2))

a = y – bx

Here,

y = 21949.97    (average of Y)

x = 2289.01          (average of X)

b = (1807484146.7 - 36*2289.01*21949.97) / (190657818.38 – 36*2289.01^2)

b = -.633

a = 21949.97 - .633*2289.01

a = 20501.026

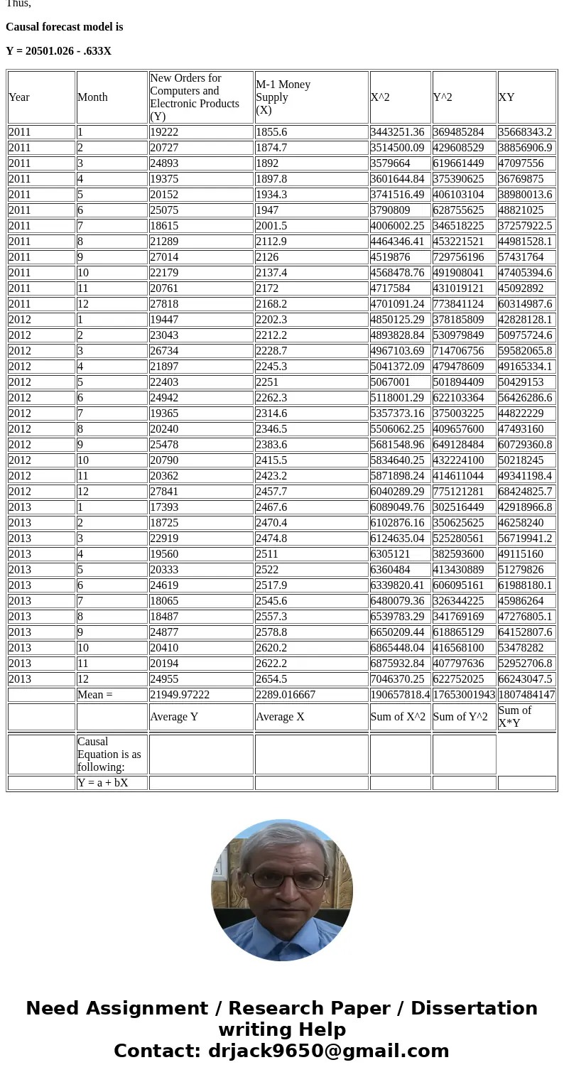
Thus,

Causal forecast model is

Y = 20501.026 - .633X

Year Month New Orders for Computers and Electronic Products (Y) M-1 Money Supply                       (X) X^2 Y^2 XY
2011 1 19222 1855.6 3443251.36 369485284 35668343.2
2011 2 20727 1874.7 3514500.09 429608529 38856906.9
2011 3 24893 1892 3579664 619661449 47097556
2011 4 19375 1897.8 3601644.84 375390625 36769875
2011 5 20152 1934.3 3741516.49 406103104 38980013.6
2011 6 25075 1947 3790809 628755625 48821025
2011 7 18615 2001.5 4006002.25 346518225 37257922.5
2011 8 21289 2112.9 4464346.41 453221521 44981528.1
2011 9 27014 2126 4519876 729756196 57431764
2011 10 22179 2137.4 4568478.76 491908041 47405394.6
2011 11 20761 2172 4717584 431019121 45092892
2011 12 27818 2168.2 4701091.24 773841124 60314987.6
2012 1 19447 2202.3 4850125.29 378185809 42828128.1
2012 2 23043 2212.2 4893828.84 530979849 50975724.6
2012 3 26734 2228.7 4967103.69 714706756 59582065.8
2012 4 21897 2245.3 5041372.09 479478609 49165334.1
2012 5 22403 2251 5067001 501894409 50429153
2012 6 24942 2262.3 5118001.29 622103364 56426286.6
2012 7 19365 2314.6 5357373.16 375003225 44822229
2012 8 20240 2346.5 5506062.25 409657600 47493160
2012 9 25478 2383.6 5681548.96 649128484 60729360.8
2012 10 20790 2415.5 5834640.25 432224100 50218245
2012 11 20362 2423.2 5871898.24 414611044 49341198.4
2012 12 27841 2457.7 6040289.29 775121281 68424825.7
2013 1 17393 2467.6 6089049.76 302516449 42918966.8
2013 2 18725 2470.4 6102876.16 350625625 46258240
2013 3 22919 2474.8 6124635.04 525280561 56719941.2
2013 4 19560 2511 6305121 382593600 49115160
2013 5 20333 2522 6360484 413430889 51279826
2013 6 24619 2517.9 6339820.41 606095161 61988180.1
2013 7 18065 2545.6 6480079.36 326344225 45986264
2013 8 18487 2557.3 6539783.29 341769169 47276805.1
2013 9 24877 2578.8 6650209.44 618865129 64152807.6
2013 10 20410 2620.2 6865448.04 416568100 53478282
2013 11 20194 2622.2 6875932.84 407797636 52952706.8
2013 12 24955 2654.5 7046370.25 622752025 66243047.5
Mean = 21949.97222 2289.016667 190657818.4 17653001943 1807484147
Average Y Average X Sum of X^2 Sum of Y^2 Sum of X*Y
Causal Equation is as following:
Y = a + bX
Consider the data on new orders for computers and electronic products and the M1 money supply for the years 2011 through 2014. Year Month New Orders for Compute
Consider the data on new orders for computers and electronic products and the M1 money supply for the years 2011 through 2014. Year Month New Orders for Compute
Consider the data on new orders for computers and electronic products and the M1 money supply for the years 2011 through 2014. Year Month New Orders for Compute
Consider the data on new orders for computers and electronic products and the M1 money supply for the years 2011 through 2014. Year Month New Orders for Compute
Consider the data on new orders for computers and electronic products and the M1 money supply for the years 2011 through 2014. Year Month New Orders for Compute
Consider the data on new orders for computers and electronic products and the M1 money supply for the years 2011 through 2014. Year Month New Orders for Compute
Consider the data on new orders for computers and electronic products and the M1 money supply for the years 2011 through 2014. Year Month New Orders for Compute

Get Help Now

Submit a Take Down Notice

Tutor
Tutor: Dr Jack
Most rated tutor on our site