Gateway Communications is considering a project with an init

Gateway Communications is considering a project with an initial fixed assets cost of $1.74 million that will be depreciated straight-line to a zero book value over the 10-year life of the project. At the end of the project the equipment will be sold for an estimated $232,000. The project will not change sales but will reduce operating costs by $383,500 per year. The tax rate is 35 percent and the required return is 10.7 percent. The project will require $48,000 in net working capital, which will be recouped when the project ends. What is the project\'s NPV?

$133,836

$171,046

$176,748

$164,467

$128,017

Solution

$133,836

Working:

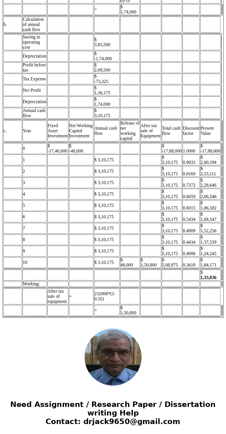
a. Calculation of Annual deprceiation
Annual depreciation = (Cost - salvage value)/Useful Life
= (1740000-0)/10
= $       1,74,000
b. Calculation of annual cash flow
Saving in operating cost $       3,83,500
Depreciation $     -1,74,000
Profit before tax $       2,09,500
Tax Expense $         -73,325
Net Profit $       1,36,175
Depreciation $       1,74,000
Annual cash flow $       3,10,175
c. Year Fixed Asset Investment Net Working Capital Investment Annual cash flow Release of net working capital After tax sale of Equipment Total cash flow Discount factor Present Value
0 $          -17,40,000 $                    -48,000 $ -17,88,000      1.0000 $       -17,88,000
1 $ 3,10,175 $     3,10,175      0.9033 $           2,80,194
2 $ 3,10,175 $     3,10,175      0.8160 $           2,53,111
3 $ 3,10,175 $     3,10,175      0.7372 $           2,28,646
4 $ 3,10,175 $     3,10,175      0.6659 $           2,06,546
5 $ 3,10,175 $     3,10,175      0.6015 $           1,86,582
6 $ 3,10,175 $     3,10,175      0.5434 $           1,68,547
7 $ 3,10,175 $     3,10,175      0.4909 $           1,52,256
8 $ 3,10,175 $     3,10,175      0.4434 $           1,37,539
9 $ 3,10,175 $     3,10,175      0.4006 $           1,24,245
10 $ 3,10,175 $           48,000 $    1,50,800 $     5,08,975      0.3618 $           1,84,171
$           1,33,836
Working:
After tax sale of equipment = 232000*(1-0.35)
= $       1,50,800
Gateway Communications is considering a project with an initial fixed assets cost of $1.74 million that will be depreciated straight-line to a zero book value o
Gateway Communications is considering a project with an initial fixed assets cost of $1.74 million that will be depreciated straight-line to a zero book value o

Get Help Now

Submit a Take Down Notice

Tutor
Tutor: Dr Jack
Most rated tutor on our site