Table 1 Alternative 1Alternative 2 Construction Cost Routine

Table 1 Alternative 1Alternative 2 Construction Cost Routine maintenance cost per year Rehabilitation Costs 100m 150m 0.5m 0.75m $4m (Year 9 8m (Year 13) End of performance period #1 End of performance period #2 End of performance period #3 Year 25 $5m (Year 17) Year 25 $10m 25 years · · Salvage value of structure at the end of design life Analysis period $15m 25 years

Solution

Computation of NPV for both the alternatives:

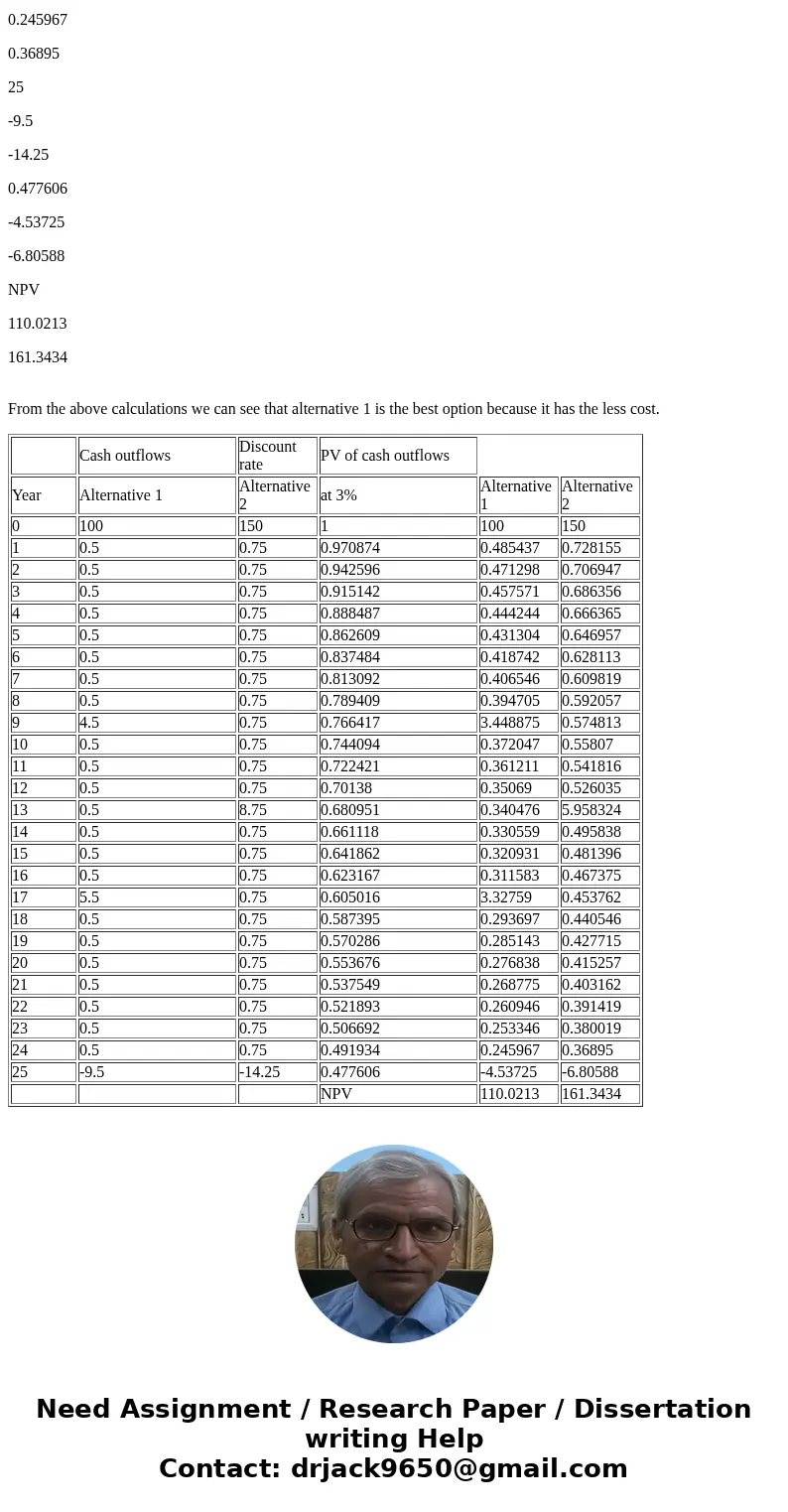
Cash outflows

Discount rate

PV of cash outflows

Year

Alternative 1

Alternative 2

at 3%

Alternative 1

Alternative 2

0

100

150

1

100

150

1

0.5

0.75

0.970874

0.485437

0.728155

2

0.5

0.75

0.942596

0.471298

0.706947

3

0.5

0.75

0.915142

0.457571

0.686356

4

0.5

0.75

0.888487

0.444244

0.666365

5

0.5

0.75

0.862609

0.431304

0.646957

6

0.5

0.75

0.837484

0.418742

0.628113

7

0.5

0.75

0.813092

0.406546

0.609819

8

0.5

0.75

0.789409

0.394705

0.592057

9

4.5

0.75

0.766417

3.448875

0.574813

10

0.5

0.75

0.744094

0.372047

0.55807

11

0.5

0.75

0.722421

0.361211

0.541816

12

0.5

0.75

0.70138

0.35069

0.526035

13

0.5

8.75

0.680951

0.340476

5.958324

14

0.5

0.75

0.661118

0.330559

0.495838

15

0.5

0.75

0.641862

0.320931

0.481396

16

0.5

0.75

0.623167

0.311583

0.467375

17

5.5

0.75

0.605016

3.32759

0.453762

18

0.5

0.75

0.587395

0.293697

0.440546

19

0.5

0.75

0.570286

0.285143

0.427715

20

0.5

0.75

0.553676

0.276838

0.415257

21

0.5

0.75

0.537549

0.268775

0.403162

22

0.5

0.75

0.521893

0.260946

0.391419

23

0.5

0.75

0.506692

0.253346

0.380019

24

0.5

0.75

0.491934

0.245967

0.36895

25

-9.5

-14.25

0.477606

-4.53725

-6.80588

NPV

110.0213

161.3434


From the above calculations we can see that alternative 1 is the best option because it has the less cost.

Cash outflows

Discount rate

PV of cash outflows

Year

Alternative 1

Alternative 2

at 3%

Alternative 1

Alternative 2

0

100

150

1

100

150

1

0.5

0.75

0.970874

0.485437

0.728155

2

0.5

0.75

0.942596

0.471298

0.706947

3

0.5

0.75

0.915142

0.457571

0.686356

4

0.5

0.75

0.888487

0.444244

0.666365

5

0.5

0.75

0.862609

0.431304

0.646957

6

0.5

0.75

0.837484

0.418742

0.628113

7

0.5

0.75

0.813092

0.406546

0.609819

8

0.5

0.75

0.789409

0.394705

0.592057

9

4.5

0.75

0.766417

3.448875

0.574813

10

0.5

0.75

0.744094

0.372047

0.55807

11

0.5

0.75

0.722421

0.361211

0.541816

12

0.5

0.75

0.70138

0.35069

0.526035

13

0.5

8.75

0.680951

0.340476

5.958324

14

0.5

0.75

0.661118

0.330559

0.495838

15

0.5

0.75

0.641862

0.320931

0.481396

16

0.5

0.75

0.623167

0.311583

0.467375

17

5.5

0.75

0.605016

3.32759

0.453762

18

0.5

0.75

0.587395

0.293697

0.440546

19

0.5

0.75

0.570286

0.285143

0.427715

20

0.5

0.75

0.553676

0.276838

0.415257

21

0.5

0.75

0.537549

0.268775

0.403162

22

0.5

0.75

0.521893

0.260946

0.391419

23

0.5

0.75

0.506692

0.253346

0.380019

24

0.5

0.75

0.491934

0.245967

0.36895

25

-9.5

-14.25

0.477606

-4.53725

-6.80588

NPV

110.0213

161.3434

 Table 1 Alternative 1Alternative 2 Construction Cost Routine maintenance cost per year Rehabilitation Costs 100m 150m 0.5m 0.75m $4m (Year 9 8m (Year 13) End o
 Table 1 Alternative 1Alternative 2 Construction Cost Routine maintenance cost per year Rehabilitation Costs 100m 150m 0.5m 0.75m $4m (Year 9 8m (Year 13) End o
 Table 1 Alternative 1Alternative 2 Construction Cost Routine maintenance cost per year Rehabilitation Costs 100m 150m 0.5m 0.75m $4m (Year 9 8m (Year 13) End o
 Table 1 Alternative 1Alternative 2 Construction Cost Routine maintenance cost per year Rehabilitation Costs 100m 150m 0.5m 0.75m $4m (Year 9 8m (Year 13) End o
 Table 1 Alternative 1Alternative 2 Construction Cost Routine maintenance cost per year Rehabilitation Costs 100m 150m 0.5m 0.75m $4m (Year 9 8m (Year 13) End o
 Table 1 Alternative 1Alternative 2 Construction Cost Routine maintenance cost per year Rehabilitation Costs 100m 150m 0.5m 0.75m $4m (Year 9 8m (Year 13) End o

Get Help Now

Submit a Take Down Notice

Tutor
Tutor: Dr Jack
Most rated tutor on our site