Question aBased on a learning percentage of 60 how much time
Question: a.Based on a learning percentage of 60%, how much time would it take for the next 190 units, assuming no loss of learning? This means the TOTAL time for 190 units. PLEASE SHOW ALL WORK. THE ANSWER IS ABOUT 8000 hours. Please do not post solution if answer if not close to that number.
You have just completed a pilot run of 10 units of a major product and found the processing time for each unit was as follows:
Unit Number
Time (Hours)
1
970
2
640
3
420
4
380
5
320
6
250
7
220
8
207
9
190
10
190
| Unit Number | Time (Hours) |
| 1 | 970 |
| 2 | 640 |
| 3 | 420 |
| 4 | 380 |
| 5 | 320 |
| 6 | 250 |
| 7 | 220 |
| 8 | 207 |
| 9 | 190 |
| 10 | 190 |
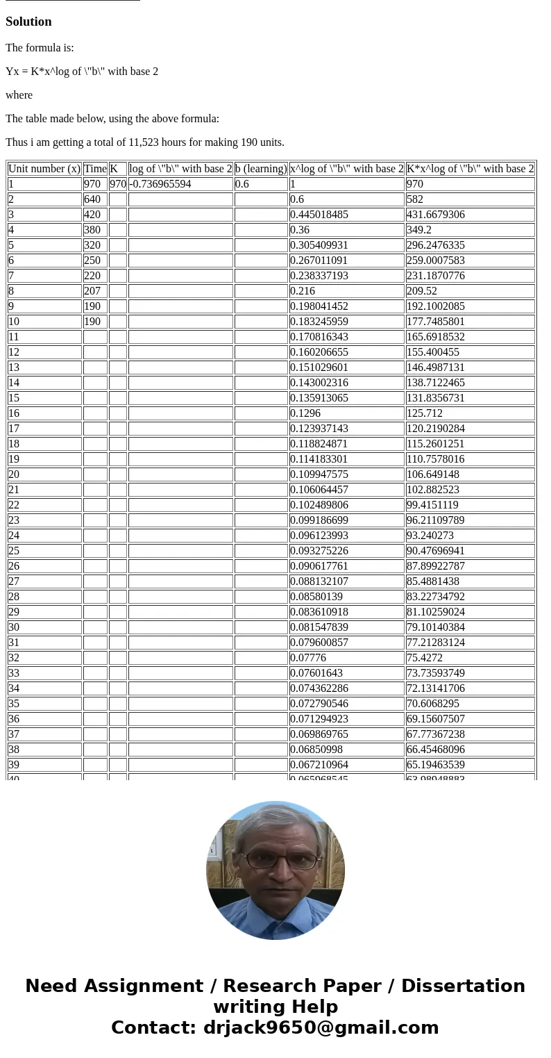
Solution
The formula is:
Yx = K*x^log of \"b\" with base 2
where
The table made below, using the above formula:
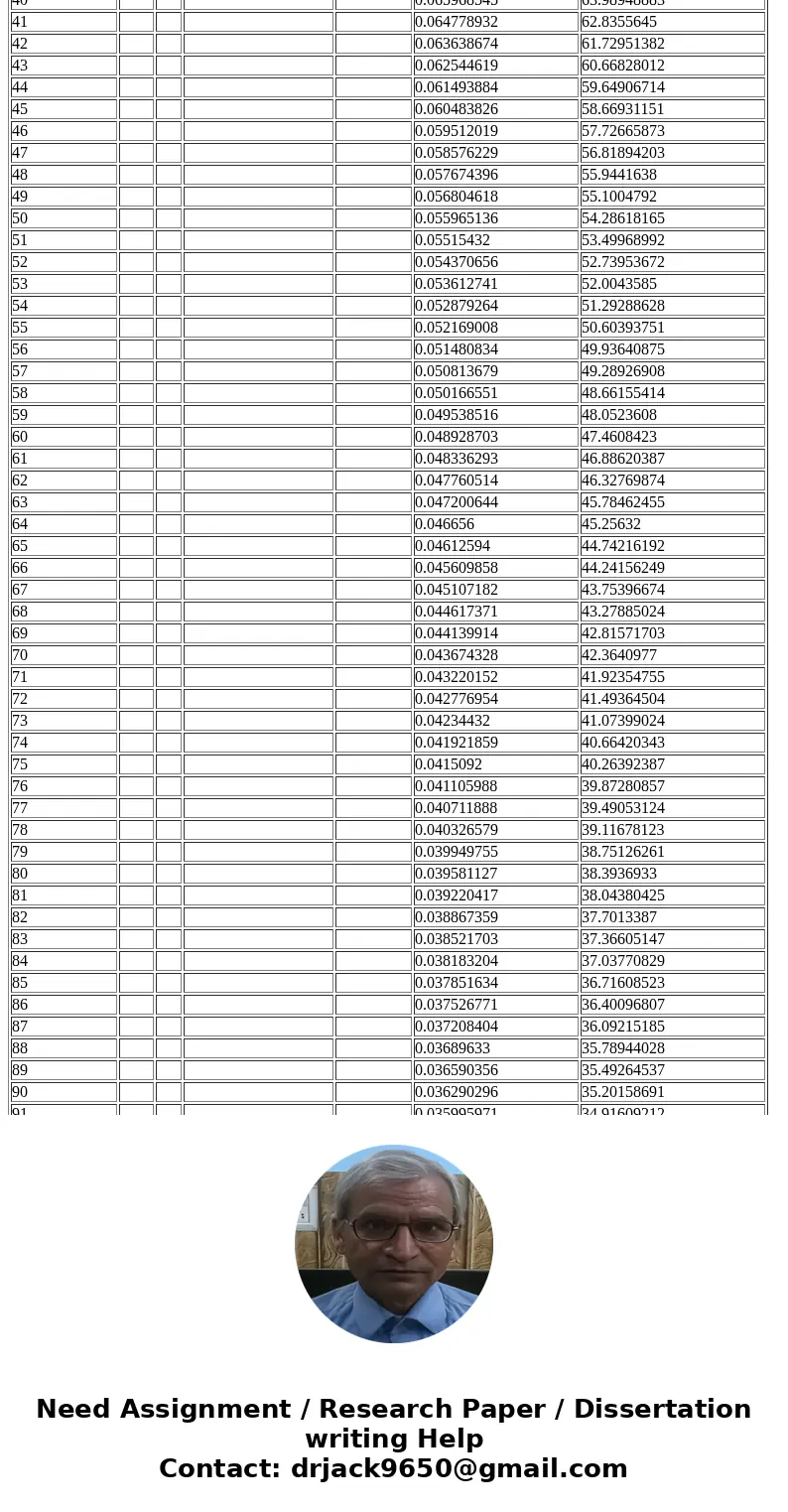
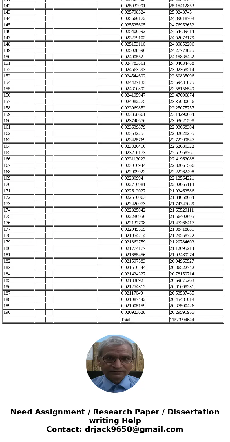
Thus i am getting a total of 11,523 hours for making 190 units.
| Unit number (x) | Time | K | log of \"b\" with base 2 | b (learning) | x^log of \"b\" with base 2 | K*x^log of \"b\" with base 2 |
| 1 | 970 | 970 | -0.736965594 | 0.6 | 1 | 970 |
| 2 | 640 | 0.6 | 582 | |||
| 3 | 420 | 0.445018485 | 431.6679306 | |||
| 4 | 380 | 0.36 | 349.2 | |||
| 5 | 320 | 0.305409931 | 296.2476335 | |||
| 6 | 250 | 0.267011091 | 259.0007583 | |||
| 7 | 220 | 0.238337193 | 231.1870776 | |||
| 8 | 207 | 0.216 | 209.52 | |||
| 9 | 190 | 0.198041452 | 192.1002085 | |||
| 10 | 190 | 0.183245959 | 177.7485801 | |||
| 11 | 0.170816343 | 165.6918532 | ||||
| 12 | 0.160206655 | 155.400455 | ||||
| 13 | 0.151029601 | 146.4987131 | ||||
| 14 | 0.143002316 | 138.7122465 | ||||
| 15 | 0.135913065 | 131.8356731 | ||||
| 16 | 0.1296 | 125.712 | ||||
| 17 | 0.123937143 | 120.2190284 | ||||
| 18 | 0.118824871 | 115.2601251 | ||||
| 19 | 0.114183301 | 110.7578016 | ||||
| 20 | 0.109947575 | 106.649148 | ||||
| 21 | 0.106064457 | 102.882523 | ||||
| 22 | 0.102489806 | 99.4151119 | ||||
| 23 | 0.099186699 | 96.21109789 | ||||
| 24 | 0.096123993 | 93.240273 | ||||
| 25 | 0.093275226 | 90.47696941 | ||||
| 26 | 0.090617761 | 87.89922787 | ||||
| 27 | 0.088132107 | 85.4881438 | ||||
| 28 | 0.08580139 | 83.22734792 | ||||
| 29 | 0.083610918 | 81.10259024 | ||||
| 30 | 0.081547839 | 79.10140384 | ||||
| 31 | 0.079600857 | 77.21283124 | ||||
| 32 | 0.07776 | 75.4272 | ||||
| 33 | 0.07601643 | 73.73593749 | ||||
| 34 | 0.074362286 | 72.13141706 | ||||
| 35 | 0.072790546 | 70.6068295 | ||||
| 36 | 0.071294923 | 69.15607507 | ||||
| 37 | 0.069869765 | 67.77367238 | ||||
| 38 | 0.06850998 | 66.45468096 | ||||
| 39 | 0.067210964 | 65.19463539 | ||||
| 40 | 0.065968545 | 63.98948883 | ||||
| 41 | 0.064778932 | 62.8355645 | ||||
| 42 | 0.063638674 | 61.72951382 | ||||
| 43 | 0.062544619 | 60.66828012 | ||||
| 44 | 0.061493884 | 59.64906714 | ||||
| 45 | 0.060483826 | 58.66931151 | ||||
| 46 | 0.059512019 | 57.72665873 | ||||
| 47 | 0.058576229 | 56.81894203 | ||||
| 48 | 0.057674396 | 55.9441638 | ||||
| 49 | 0.056804618 | 55.1004792 | ||||
| 50 | 0.055965136 | 54.28618165 | ||||
| 51 | 0.05515432 | 53.49968992 | ||||
| 52 | 0.054370656 | 52.73953672 | ||||
| 53 | 0.053612741 | 52.0043585 | ||||
| 54 | 0.052879264 | 51.29288628 | ||||
| 55 | 0.052169008 | 50.60393751 | ||||
| 56 | 0.051480834 | 49.93640875 | ||||
| 57 | 0.050813679 | 49.28926908 | ||||
| 58 | 0.050166551 | 48.66155414 | ||||
| 59 | 0.049538516 | 48.0523608 | ||||
| 60 | 0.048928703 | 47.4608423 | ||||
| 61 | 0.048336293 | 46.88620387 | ||||
| 62 | 0.047760514 | 46.32769874 | ||||
| 63 | 0.047200644 | 45.78462455 | ||||
| 64 | 0.046656 | 45.25632 | ||||
| 65 | 0.04612594 | 44.74216192 | ||||
| 66 | 0.045609858 | 44.24156249 | ||||
| 67 | 0.045107182 | 43.75396674 | ||||
| 68 | 0.044617371 | 43.27885024 | ||||
| 69 | 0.044139914 | 42.81571703 | ||||
| 70 | 0.043674328 | 42.3640977 | ||||
| 71 | 0.043220152 | 41.92354755 | ||||
| 72 | 0.042776954 | 41.49364504 | ||||
| 73 | 0.04234432 | 41.07399024 | ||||
| 74 | 0.041921859 | 40.66420343 | ||||
| 75 | 0.0415092 | 40.26392387 | ||||
| 76 | 0.041105988 | 39.87280857 | ||||
| 77 | 0.040711888 | 39.49053124 | ||||
| 78 | 0.040326579 | 39.11678123 | ||||
| 79 | 0.039949755 | 38.75126261 | ||||
| 80 | 0.039581127 | 38.3936933 | ||||
| 81 | 0.039220417 | 38.04380425 | ||||
| 82 | 0.038867359 | 37.7013387 | ||||
| 83 | 0.038521703 | 37.36605147 | ||||
| 84 | 0.038183204 | 37.03770829 | ||||
| 85 | 0.037851634 | 36.71608523 | ||||
| 86 | 0.037526771 | 36.40096807 | ||||
| 87 | 0.037208404 | 36.09215185 | ||||
| 88 | 0.03689633 | 35.78944028 | ||||
| 89 | 0.036590356 | 35.49264537 | ||||
| 90 | 0.036290296 | 35.20158691 | ||||
| 91 | 0.035995971 | 34.91609212 | ||||
| 92 | 0.035707212 | 34.63599524 | ||||
| 93 | 0.035423853 | 34.36113719 | ||||
| 94 | 0.035145737 | 34.09136522 | ||||
| 95 | 0.034872714 | 33.82653259 | ||||
| 96 | 0.034604637 | 33.56649828 | ||||
| 97 | 0.034341368 | 33.31112673 | ||||
| 98 | 0.034082771 | 33.06028752 | ||||
| 99 | 0.033828717 | 32.8138552 | ||||
| 100 | 0.033579081 | 32.57170899 | ||||
| 101 | 0.033333745 | 32.33373258 | ||||
| 102 | 0.033092592 | 32.09981395 | ||||
| 103 | 0.03285551 | 31.86984513 | ||||
| 104 | 0.032622394 | 31.64372203 | ||||
| 105 | 0.032393138 | 31.4213443 | ||||
| 106 | 0.032167644 | 31.2026151 | ||||
| 107 | 0.031945815 | 30.98744099 | ||||
| 108 | 0.031727559 | 30.77573177 | ||||
| 109 | 0.031512784 | 30.56740032 | ||||
| 110 | 0.031301405 | 30.3623625 | ||||
| 111 | 0.031093337 | 30.16053701 | ||||
| 112 | 0.0308885 | 29.96184525 | ||||
| 113 | 0.030686816 | 29.76621123 | ||||
| 114 | 0.030488208 | 29.57356145 | ||||
| 115 | 0.030292603 | 29.3838248 | ||||
| 116 | 0.03009993 | 29.19693249 | ||||
| 117 | 0.029910122 | 29.01281788 | ||||
| 118 | 0.02972311 | 28.83141648 | ||||
| 119 | 0.029538831 | 28.65266582 | ||||
| 120 | 0.029357222 | 28.47650538 | ||||
| 121 | 0.029178223 | 28.3028765 | ||||
| 122 | 0.029001776 | 28.13172232 | ||||
| 123 | 0.028827822 | 27.96298773 | ||||
| 124 | 0.028656309 | 27.79661925 | ||||
| 125 | 0.02848718 | 27.63256502 | ||||
| 126 | 0.028320386 | 27.47077473 | ||||
| 127 | 0.028155876 | 27.31119952 | ||||
| 128 | 0.0279936 | 27.153792 | ||||
| 129 | 0.027833511 | 26.99850611 | ||||
| 130 | 0.027675564 | 26.84529715 | ||||
| 131 | 0.027519713 | 26.69412168 | ||||
| 132 | 0.027365915 | 26.5449375 | ||||
| 133 | 0.027214127 | 26.39770357 | ||||
| 134 | 0.027064309 | 26.25238004 | ||||
| 135 | 0.026916421 | 26.10892813 | ||||
| 136 | 0.026770423 | 25.96731014 | ||||
| 137 | 0.026626278 | 25.8274894 | ||||
| 138 | 0.026483949 | 25.68943022 | ||||
| 139 | 0.0263434 | 25.55309789 | ||||
| 140 | 0.026204597 | 25.41845862 | ||||
| 141 | 0.026067505 | 25.28547951 | ||||
| 142 | 0.025932091 | 25.15412853 | ||||
| 143 | 0.025798324 | 25.0243745 | ||||
| 144 | 0.025666172 | 24.89618703 | ||||
| 145 | 0.025535605 | 24.76953652 | ||||
| 146 | 0.025406592 | 24.64439414 | ||||
| 147 | 0.025279105 | 24.52073179 | ||||
| 148 | 0.025153116 | 24.39852206 | ||||
| 149 | 0.025028596 | 24.27773825 | ||||
| 150 | 0.02490552 | 24.15835432 | ||||
| 151 | 0.024783861 | 24.04034488 | ||||
| 152 | 0.024663593 | 23.92368514 | ||||
| 153 | 0.024544692 | 23.80835096 | ||||
| 154 | 0.024427133 | 23.69431875 | ||||
| 155 | 0.024310892 | 23.58156549 | ||||
| 156 | 0.024195947 | 23.47006874 | ||||
| 157 | 0.024082275 | 23.35980656 | ||||
| 158 | 0.023969853 | 23.25075757 | ||||
| 159 | 0.023858661 | 23.14290084 | ||||
| 160 | 0.023748676 | 23.03621598 | ||||
| 161 | 0.023639879 | 22.93068304 | ||||
| 162 | 0.02353225 | 22.82628255 | ||||
| 163 | 0.023425769 | 22.72299547 | ||||
| 164 | 0.023320416 | 22.62080322 | ||||
| 165 | 0.023216173 | 22.51968761 | ||||
| 166 | 0.023113022 | 22.41963088 | ||||
| 167 | 0.023010944 | 22.32061566 | ||||
| 168 | 0.022909923 | 22.22262498 | ||||
| 169 | 0.02280994 | 22.12564221 | ||||
| 170 | 0.022710981 | 22.02965114 | ||||
| 171 | 0.022613027 | 21.93463586 | ||||
| 172 | 0.022516063 | 21.84058084 | ||||
| 173 | 0.022420073 | 21.74747089 | ||||
| 174 | 0.022325042 | 21.65529111 | ||||
| 175 | 0.022230956 | 21.56402695 | ||||
| 176 | 0.022137798 | 21.47366417 | ||||
| 177 | 0.022045555 | 21.38418881 | ||||
| 178 | 0.021954214 | 21.29558722 | ||||
| 179 | 0.021863759 | 21.20784603 | ||||
| 180 | 0.021774177 | 21.12095214 | ||||
| 181 | 0.021685456 | 21.03489274 | ||||
| 182 | 0.021597583 | 20.94965527 | ||||
| 183 | 0.021510544 | 20.86522742 | ||||
| 184 | 0.021424327 | 20.78159714 | ||||
| 185 | 0.02133892 | 20.69875263 | ||||
| 186 | 0.021254312 | 20.61668231 | ||||
| 187 | 0.02117049 | 20.53537485 | ||||
| 188 | 0.021087442 | 20.45481913 | ||||
| 189 | 0.021005159 | 20.37500426 | ||||
| 190 | 0.020923628 | 20.29591955 | ||||
| Total | 11523.94644 |




