Case C1 Ch89 Examining the Hospital Database This database c
Case C1 Ch.8-9: Examining the Hospital Database
This database contains observations for 11 variables on U.S. hospitals. These variables include Geographic Region, Control, Service, Number of Beds, Number of Admissions, Census, Number of Outpatients, Number of Births, Total Expenditures, Payroll Expenditures, and Personnel.
Geographic Region variable is coded from 1 to 7, and the numbers represent the following regions:
1 = South
2 = Northeast
3 = Midwest
4 = Southwest
5 = Rocky Mountain
6 = California
7 = Northwest
Control is a type of ownership. Four categories of control are included in the database:
1 = government, nonfederal
2 = nongovernment, not-for-profit
3 = for-profit
4 = federal government
Service is the type of hospital. The two types of hospitals used in this database are:
1 = general medical
2 = psychiatric
Total Expenditures and Payroll variables are in units of $1,000.
Questions: The administrators would like you to use the database to answer these questions:
1. Determine the sample proportion of general medical under the variable “Service.”
2. From the statistic in #1 above, construct a 95% confidence interval to estimate the population proportion of hospitals that are general medical.
3. What is the point estimate for general medical hospitals?
4. How much error is there in the interval in #2?
5. Test the hypothesis, using = 0.01, that the average US hospital has a mean of more than 700 births per year.
6. On average, do US hospitals employ fewer than 900 personnel? Use = 0.10 to test this figure as the alternative hypothesis.
TIP: For #5 and #6, assume that the number of births and the number of employees in the hospitals are normally distributed in the population.
Directions for #5 and #6: Be sure to include in your memo (for each question):
[5pts] A table of descriptive statistics (mean, standard deviation (or variance), sample size) for each variable: births and personnel.
[2pts] The tests that should be used and the justification for using them.
[2pts] The null and alternative hypotheses.
[2pts] The test statistics.
[2pts] The p-values (or critical values if the rejection region method is used).
[2pts]The decisions based on the PLAYR rule.
[5pts]Plain language conclusions (i.e. how a hospital administrator might use the information).
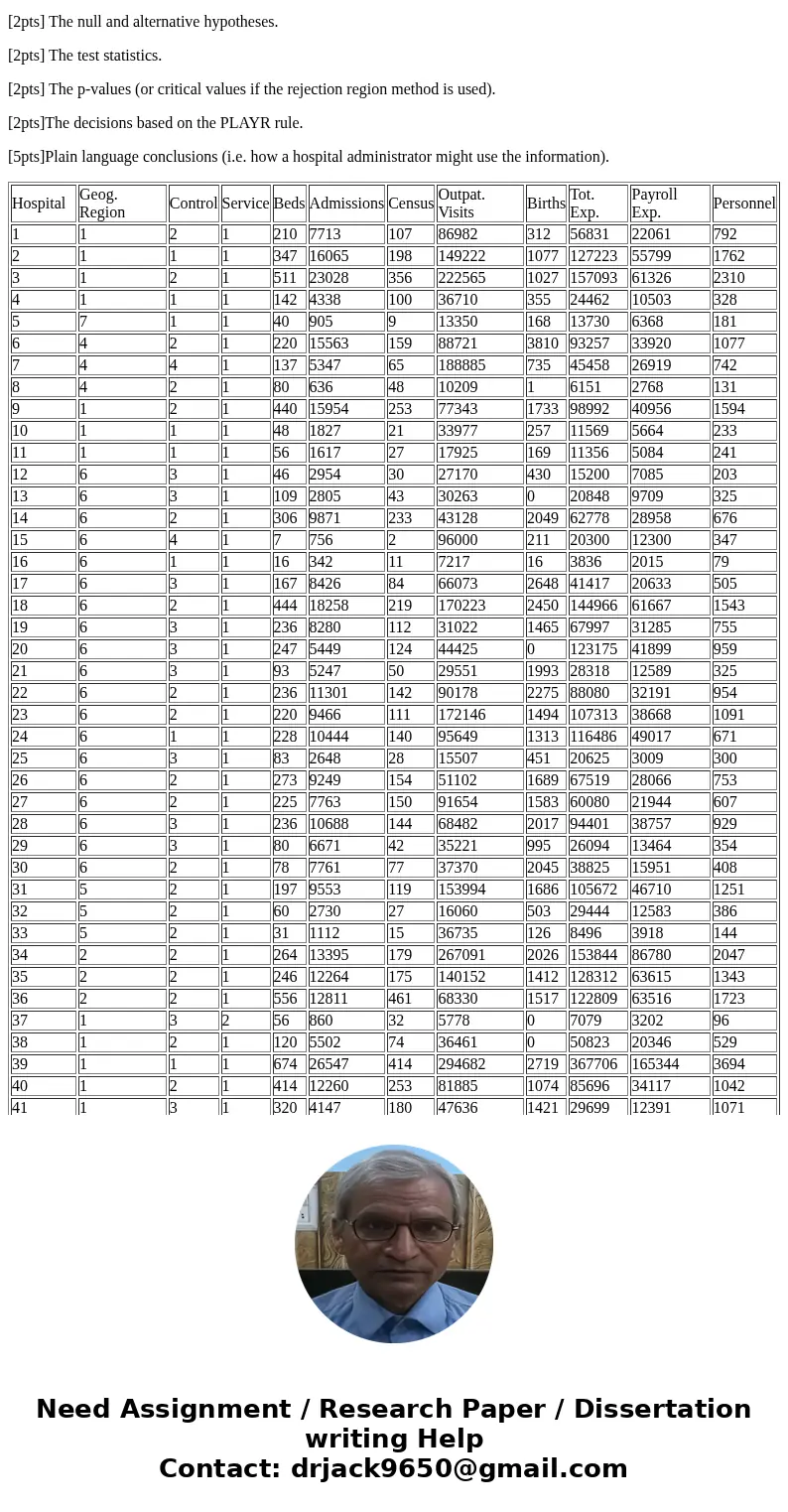
| Hospital | Geog. Region | Control | Service | Beds | Admissions | Census | Outpat. Visits | Births | Tot. Exp. | Payroll Exp. | Personnel |
| 1 | 1 | 2 | 1 | 210 | 7713 | 107 | 86982 | 312 | 56831 | 22061 | 792 |
| 2 | 1 | 1 | 1 | 347 | 16065 | 198 | 149222 | 1077 | 127223 | 55799 | 1762 |
| 3 | 1 | 2 | 1 | 511 | 23028 | 356 | 222565 | 1027 | 157093 | 61326 | 2310 |
| 4 | 1 | 1 | 1 | 142 | 4338 | 100 | 36710 | 355 | 24462 | 10503 | 328 |
| 5 | 7 | 1 | 1 | 40 | 905 | 9 | 13350 | 168 | 13730 | 6368 | 181 |
| 6 | 4 | 2 | 1 | 220 | 15563 | 159 | 88721 | 3810 | 93257 | 33920 | 1077 |
| 7 | 4 | 4 | 1 | 137 | 5347 | 65 | 188885 | 735 | 45458 | 26919 | 742 |
| 8 | 4 | 2 | 1 | 80 | 636 | 48 | 10209 | 1 | 6151 | 2768 | 131 |
| 9 | 1 | 2 | 1 | 440 | 15954 | 253 | 77343 | 1733 | 98992 | 40956 | 1594 |
| 10 | 1 | 1 | 1 | 48 | 1827 | 21 | 33977 | 257 | 11569 | 5664 | 233 |
| 11 | 1 | 1 | 1 | 56 | 1617 | 27 | 17925 | 169 | 11356 | 5084 | 241 |
| 12 | 6 | 3 | 1 | 46 | 2954 | 30 | 27170 | 430 | 15200 | 7085 | 203 |
| 13 | 6 | 3 | 1 | 109 | 2805 | 43 | 30263 | 0 | 20848 | 9709 | 325 |
| 14 | 6 | 2 | 1 | 306 | 9871 | 233 | 43128 | 2049 | 62778 | 28958 | 676 |
| 15 | 6 | 4 | 1 | 7 | 756 | 2 | 96000 | 211 | 20300 | 12300 | 347 |
| 16 | 6 | 1 | 1 | 16 | 342 | 11 | 7217 | 16 | 3836 | 2015 | 79 |
| 17 | 6 | 3 | 1 | 167 | 8426 | 84 | 66073 | 2648 | 41417 | 20633 | 505 |
| 18 | 6 | 2 | 1 | 444 | 18258 | 219 | 170223 | 2450 | 144966 | 61667 | 1543 |
| 19 | 6 | 3 | 1 | 236 | 8280 | 112 | 31022 | 1465 | 67997 | 31285 | 755 |
| 20 | 6 | 3 | 1 | 247 | 5449 | 124 | 44425 | 0 | 123175 | 41899 | 959 |
| 21 | 6 | 3 | 1 | 93 | 5247 | 50 | 29551 | 1993 | 28318 | 12589 | 325 |
| 22 | 6 | 2 | 1 | 236 | 11301 | 142 | 90178 | 2275 | 88080 | 32191 | 954 |
| 23 | 6 | 2 | 1 | 220 | 9466 | 111 | 172146 | 1494 | 107313 | 38668 | 1091 |
| 24 | 6 | 1 | 1 | 228 | 10444 | 140 | 95649 | 1313 | 116486 | 49017 | 671 |
| 25 | 6 | 3 | 1 | 83 | 2648 | 28 | 15507 | 451 | 20625 | 3009 | 300 |
| 26 | 6 | 2 | 1 | 273 | 9249 | 154 | 51102 | 1689 | 67519 | 28066 | 753 |
| 27 | 6 | 2 | 1 | 225 | 7763 | 150 | 91654 | 1583 | 60080 | 21944 | 607 |
| 28 | 6 | 3 | 1 | 236 | 10688 | 144 | 68482 | 2017 | 94401 | 38757 | 929 |
| 29 | 6 | 3 | 1 | 80 | 6671 | 42 | 35221 | 995 | 26094 | 13464 | 354 |
| 30 | 6 | 2 | 1 | 78 | 7761 | 77 | 37370 | 2045 | 38825 | 15951 | 408 |
| 31 | 5 | 2 | 1 | 197 | 9553 | 119 | 153994 | 1686 | 105672 | 46710 | 1251 |
| 32 | 5 | 2 | 1 | 60 | 2730 | 27 | 16060 | 503 | 29444 | 12583 | 386 |
| 33 | 5 | 2 | 1 | 31 | 1112 | 15 | 36735 | 126 | 8496 | 3918 | 144 |
| 34 | 2 | 2 | 1 | 264 | 13395 | 179 | 267091 | 2026 | 153844 | 86780 | 2047 |
| 35 | 2 | 2 | 1 | 246 | 12264 | 175 | 140152 | 1412 | 128312 | 63615 | 1343 |
| 36 | 2 | 2 | 1 | 556 | 12811 | 461 | 68330 | 1517 | 122809 | 63516 | 1723 |
| 37 | 1 | 3 | 2 | 56 | 860 | 32 | 5778 | 0 | 7079 | 3202 | 96 |
| 38 | 1 | 2 | 1 | 120 | 5502 | 74 | 36461 | 0 | 50823 | 20346 | 529 |
| 39 | 1 | 1 | 1 | 674 | 26547 | 414 | 294682 | 2719 | 367706 | 165344 | 3694 |
| 40 | 1 | 2 | 1 | 414 | 12260 | 253 | 81885 | 1074 | 85696 | 34117 | 1042 |
| 41 | 1 | 3 | 1 | 320 | 4147 | 180 | 47636 | 1421 | 29699 | 12391 | 1071 |
| 42 | 1 | 1 | 1 | 315 | 12804 | 184 | 92458 | 762 | 108848 | 43575 | 1525 |
| 43 | 1 | 2 | 1 | 344 | 16539 | 243 | 185313 | 3194 | 141031 | 56421 | 1983 |
| 44 | 1 | 2 | 1 | 168 | 7566 | 115 | 66309 | 496 | 56207 | 22128 | 670 |
| 45 | 1 | 1 | 1 | 315 | 15853 | 215 | 93373 | 1442 | 131297 | 52366 | 1653 |
| 46 | 1 | 3 | 2 | 88 | 2662 | 48 | 6533 | 0 | 9617 | 4735 | 167 |
| 47 | 1 | 3 | 1 | 245 | 8733 | 124 | 78773 | 1107 | 63442 | 28088 | 793 |
| 48 | 1 | 2 | 1 | 311 | 15196 | 189 | 115155 | 2989 | 109394 | 47744 | 841 |
| 49 | 1 | 1 | 1 | 233 | 1466 | 181 | 18659 | 113 | 9840 | 5593 | 316 |
| 50 | 1 | 1 | 1 | 46 | 812 | 9 | 11519 | 0 | 4417 | 2455 | 93 |
| 51 | 1 | 3 | 1 | 103 | 2312 | 28 | 30661 | 0 | 31628 | 10847 | 373 |
| 52 | 1 | 2 | 1 | 331 | 2305 | 288 | 35600 | 173 | 20848 | 10389 | 263 |
| 53 | 1 | 1 | 1 | 186 | 10541 | 108 | 76176 | 1064 | 56185 | 24373 | 943 |
| 54 | 1 | 2 | 1 | 177 | 4469 | 154 | 57104 | 759 | 43406 | 21388 | 605 |
| 55 | 7 | 2 | 1 | 149 | 5994 | 76 | 111901 | 1317 | 40014 | 17450 | 596 |
| 56 | 7 | 3 | 1 | 286 | 11142 | 165 | 173393 | 1751 | 75810 | 32620 | 1165 |
| 57 | 3 | 1 | 2 | 488 | 508 | 295 | 0 | 0 | 26298 | 21070 | 568 |
| 58 | 3 | 3 | 1 | 242 | 5682 | 101 | 37461 | 0 | 57236 | 21461 | 507 |
| 59 | 3 | 2 | 1 | 128 | 5511 | 69 | 37898 | 714 | 30063 | 14717 | 479 |
| 60 | 3 | 2 | 1 | 33 | 925 | 12 | 24679 | 99 | 7947 | 3388 | 136 |
| 61 | 3 | 2 | 1 | 255 | 13780 | 185 | 146454 | 2243 | 143118 | 56630 | 1456 |
| 62 | 3 | 2 | 1 | 481 | 28390 | 378 | 796525 | 3966 | 270244 | 113093 | 3486 |
| 63 | 3 | 2 | 1 | 191 | 9899 | 114 | 85986 | 1308 | 83223 | 38537 | 885 |
| 64 | 3 | 3 | 2 | 60 | 1247 | 49 | 35955 | 0 | 20151 | 8139 | 243 |
| 65 | 3 | 2 | 1 | 155 | 9893 | 106 | 192386 | 2514 | 105523 | 40048 | 1001 |
| 66 | 3 | 2 | 1 | 626 | 31452 | 460 | 236900 | 3714 | 323725 | 143991 | 3301 |
| 67 | 3 | 2 | 1 | 105 | 1456 | 43 | 47152 | 126 | 15701 | 7478 | 337 |
| 68 | 3 | 4 | 1 | 59 | 4706 | 29 | 292105 | 556 | 33014 | 6272 | 1193 |
| 69 | 3 | 2 | 1 | 258 | 9950 | 125 | 121004 | 1327 | 88222 | 35949 | 1161 |
| 70 | 3 | 2 | 1 | 47 | 1940 | 17 | 45057 | 415 | 22274 | 11191 | 322 |
| 71 | 3 | 1 | 1 | 22 | 1241 | 10 | 31833 | 216 | 10900 | 5542 | 185 |
| 72 | 3 | 3 | 1 | 53 | 1475 | 14 | 43357 | 339 | 14830 | 6624 | 205 |
| 73 | 3 | 1 | 1 | 244 | 9731 | 173 | 103595 | 1217 | 71691 | 33804 | 1224 |
| 74 | 3 | 2 | 1 | 352 | 14974 | 207 | 110754 | 2641 | 155097 | 61771 | 1704 |
| 75 | 3 | 2 | 1 | 366 | 7284 | 223 | 181430 | 790 | 55926 | 24520 | 815 |
| 76 | 3 | 2 | 1 | 194 | 5356 | 82 | 48413 | 520 | 42104 | 17721 | 712 |
| 77 | 3 | 1 | 1 | 109 | 458 | 64 | 26770 | 35 | 6428 | 3280 | 156 |
| 78 | 3 | 2 | 1 | 285 | 11624 | 139 | 599315 | 1168 | 127796 | 56476 | 1769 |
| 79 | 3 | 2 | 1 | 175 | 8080 | 109 | 200048 | 793 | 65083 | 28006 | 875 |
| 80 | 3 | 1 | 2 | 342 | 1259 | 298 | 0 | 0 | 28246 | 18783 | 790 |
| 81 | 3 | 3 | 1 | 140 | 2876 | 52 | 3192 | 0 | 22324 | 9346 | 308 |
| 82 | 3 | 1 | 1 | 50 | 404 | 34 | 13468 | 14 | 2547 | 1235 | 70 |
| 83 | 3 | 1 | 2 | 214 | 794 | 168 | 0 | 0 | 21517 | 13795 | 494 |
| 84 | 3 | 3 | 2 | 80 | 746 | 21 | 10074 | 0 | 4861 | 2591 | 111 |
| 85 | 1 | 4 | 1 | 467 | 6122 | 390 | 179676 | 0 | 114160 | 69051 | 1618 |
| 86 | 1 | 1 | 1 | 80 | 823 | 47 | 10409 | 0 | 8086 | 3623 | 244 |
| 87 | 1 | 2 | 1 | 160 | 6584 | 80 | 91769 | 776 | 45492 | 18955 | 525 |
| 88 | 1 | 3 | 1 | 106 | 3870 | 50 | 53424 | 451 | 24529 | 9420 | 472 |
| 89 | 1 | 3 | 2 | 40 | 859 | 113 | 2251 | 0 | 4663 | 2569 | 94 |
| 90 | 1 | 2 | 1 | 99 | 3313 | 45 | 30814 | 145 | 16296 | 7925 | 297 |
| 91 | 1 | 1 | 1 | 133 | 6306 | 76 | 172253 | 1284 | 55663 | 22064 | 847 |
| 92 | 1 | 3 | 1 | 138 | 2764 | 129 | 17907 | 1 | 32936 | 10177 | 234 |
| 93 | 2 | 2 | 1 | 88 | 4112 | 60 | 85800 | 319 | 29164 | 13663 | 401 |
| 94 | 2 | 2 | 1 | 573 | 26392 | 418 | 121321 | 2154 | 329667 | 128158 | 3928 |
| 95 | 2 | 2 | 1 | 44 | 1497 | 17 | 35357 | 295 | 17714 | 7700 | 198 |
| 96 | 2 | 2 | 1 | 225 | 8187 | 138 | 89248 | 496 | 84347 | 45164 | 1231 |
| 97 | 2 | 2 | 1 | 105 | 6251 | 64 | 103225 | 589 | 43323 | 17837 | 545 |
| 98 | 2 | 2 | 1 | 100 | 5335 | 62 | 172105 | 806 | 53578 | 28592 | 663 |
| 99 | 2 | 1 | 1 | 186 | 8184 | 131 | 87453 | 701 | 76537 | 33789 | 820 |
| 100 | 2 | 2 | 1 | 375 | 21169 | 265 | 331478 | 3968 | 188190 | 86172 | 2581 |
| 101 | 3 | 4 | 2 | 485 | 4112 | 456 | 109270 | 0 | 103822 | 58336 | 1298 |
| 102 | 3 | 2 | 2 | 64 | 1785 | 40 | 7749 | 0 | 8723 | 4871 | 126 |
| 103 | 3 | 1 | 1 | 495 | 21327 | 310 | 312733 | 3655 | 231187 | 100456 | 2534 |
| 104 | 3 | 3 | 1 | 114 | 538 | 72 | 0 | 0 | 16083 | 7789 | 251 |
| 105 | 3 | 3 | 2 | 62 | 883 | 19 | 5850 | 0 | 5283 | 2637 | 85 |
| 106 | 3 | 4 | 1 | 149 | 1897 | 112 | 69776 | 0 | 34946 | 23156 | 432 |
| 107 | 3 | 1 | 2 | 427 | 592 | 375 | 0 | 0 | 53604 | 34280 | 864 |
| 108 | 3 | 3 | 2 | 40 | 1049 | 15 | 0 | 0 | 4479 | 2171 | 66 |
| 109 | 3 | 2 | 1 | 129 | 9507 | 78 | 64109 | 3063 | 58597 | 22611 | 556 |
| 110 | 3 | 1 | 1 | 149 | 1589 | 123 | 13721 | 169 | 14738 | 7040 | 347 |
| 111 | 3 | 2 | 1 | 71 | 617 | 54 | 48469 | 66 | 7934 | 4130 | 239 |
| 112 | 3 | 2 | 1 | 256 | 7203 | 96 | 107440 | 827 | 88779 | 43895 | 973 |
| 113 | 1 | 3 | 1 | 153 | 6156 | 82 | 4170 | 570 | 35543 | 13390 | 439 |
| 114 | 1 | 1 | 2 | 1297 | 1407 | 1106 | 5551 | 0 | 73334 | 47273 | 1849 |
| 115 | 1 | 1 | 1 | 70 | 1609 | 30 | 14630 | 0 | 4937 | 3172 | 102 |
| 116 | 3 | 1 | 2 | 69 | 1666 | 56 | 6376 | 0 | 14307 | 7260 | 262 |
| 117 | 3 | 4 | 1 | 71 | 3477 | 36 | 238060 | 342 | 53307 | 22512 | 885 |
| 118 | 3 | 3 | 1 | 243 | 5667 | 127 | 161912 | 494 | 43013 | 20808 | 549 |
| 119 | 3 | 1 | 2 | 206 | 1499 | 180 | 0 | 0 | 21260 | 14755 | 611 |
| 120 | 3 | 4 | 1 | 62 | 1256 | 59 | 68886 | 0 | 29581 | 13762 | 330 |
| 121 | 5 | 2 | 1 | 219 | 9275 | 127 | 42058 | 0 | 160226 | 72855 | 1471 |
| 122 | 5 | 1 | 1 | 54 | 143 | 37 | 3224 | 0 | 3043 | 1637 | 75 |
| 123 | 5 | 4 | 1 | 24 | 1503 | 13 | 105101 | 286 | 21939 | 9481 | 262 |
| 124 | 5 | 2 | 1 | 151 | 1764 | 100 | 27889 | 235 | 17395 | 6604 | 328 |
| 125 | 3 | 3 | 1 | 160 | 3228 | 47 | 29179 | 339 | 26343 | 11304 | 377 |
| 126 | 3 | 1 | 1 | 262 | 3689 | 194 | 57144 | 398 | 36112 | 18621 | 575 |
| 127 | 3 | 2 | 1 | 296 | 14018 | 172 | 139741 | 1275 | 156543 | 58378 | 1916 |
| 128 | 5 | 3 | 1 | 671 | 37375 | 516 | 119462 | 5699 | 239458 | 100322 | 2620 |
| 129 | 5 | 3 | 1 | 184 | 7699 | 120 | 53313 | 1364 | 56221 | 18421 | 571 |
| 130 | 5 | 1 | 1 | 249 | 7931 | 179 | 88869 | 714 | 45034 | 24427 | 703 |
| 131 | 2 | 4 | 1 | 157 | 2018 | 140 | 102547 | 0 | 46804 | 22395 | 535 |
| 132 | 2 | 3 | 2 | 100 | 510 | 78 | 935 | 0 | 2082 | 1533 | 160 |
| 133 | 2 | 3 | 2 | 100 | 2271 | 68 | 13405 | 0 | 17874 | 7685 | 202 |
| 134 | 2 | 2 | 1 | 375 | 11821 | 186 | 184144 | 779 | 102559 | 47925 | 1330 |
| 135 | 2 | 2 | 1 | 123 | 4093 | 91 | 36172 | 0 | 36922 | 15160 | 370 |
| 136 | 2 | 1 | 1 | 457 | 16987 | 340 | 304839 | 2202 | 322786 | 170956 | 3123 |
| 137 | 5 | 1 | 1 | 263 | 19776 | 254 | 362424 | 3346 | 196619 | 81345 | 2745 |
| 138 | 5 | 2 | 1 | 160 | 7798 | 108 | 87511 | 1071 | 68084 | 30310 | 815 |
| 139 | 5 | 2 | 1 | 69 | 2814 | 61 | 64651 | 352 | 35452 | 18210 | 576 |
| 140 | 2 | 2 | 1 | 153 | 3611 | 174 | 69833 | 254 | 24702 | 12706 | 502 |
| 141 | 2 | 1 | 2 | 260 | 163 | 306 | 56662 | 0 | 50850 | 35000 | 808 |
| 142 | 2 | 3 | 2 | 34 | 213 | 28 | 0 | 0 | 4861 | 2032 | 50 |
| 143 | 2 | 2 | 1 | 479 | 4848 | 395 | 262583 | 699 | 55313 | 24742 | 728 |
| 144 | 2 | 2 | 1 | 973 | 24753 | 923 | 339009 | 2462 | 343160 | 188865 | 4087 |
| 145 | 2 | 1 | 1 | 440 | 21004 | 335 | 550588 | 3311 | 275305 | 147417 | 3012 |
| 146 | 1 | 2 | 1 | 51 | 111 | 46 | 1257 | 0 | 2435 | 1053 | 68 |
| 147 | 1 | 1 | 1 | 347 | 19026 | 316 | 287498 | 4207 | 180781 | 83474 | 3090 |
| 148 | 1 | 4 | 2 | 612 | 3378 | 416 | 129088 | 0 | 104009 | 55542 | 1358 |
| 149 | 1 | 1 | 1 | 141 | 4080 | 74 | 54460 | 339 | 31187 | 15242 | 576 |
| 150 | 1 | 2 | 1 | 115 | 2030 | 86 | 32678 | 130 | 13706 | 5352 | 284 |
| 151 | 3 | 2 | 1 | 50 | 944 | 38 | 14995 | 91 | 6885 | 3841 | 145 |
| 152 | 3 | 2 | 1 | 261 | 10112 | 147 | 86607 | 1143 | 155709 | 78535 | 2312 |
| 153 | 3 | 4 | 2 | 334 | 4410 | 232 | 109111 | 0 | 80088 | 43948 | 1124 |
| 154 | 3 | 1 | 2 | 228 | 515 | 138 | 0 | 0 | 27911 | 17394 | 336 |
| 155 | 3 | 2 | 1 | 85 | 3233 | 38 | 67906 | 509 | 26229 | 12487 | 415 |
| 156 | 3 | 2 | 1 | 357 | 14900 | 245 | 279079 | 1026 | 143322 | 72409 | 1779 |
| 157 | 3 | 1 | 2 | 189 | 1076 | 171 | 0 | 0 | 27683 | 17784 | 338 |
| 158 | 3 | 3 | 1 | 139 | 4014 | 51 | 59061 | 447 | 36847 | 10861 | 453 |
| 159 | 3 | 4 | 1 | 60 | 3108 | 28 | 202739 | 1161 | 27790 | 14969 | 437 |
| 160 | 3 | 1 | 2 | 164 | 1132 | 797 | 42432 | 0 | 12990 | 7256 | 261 |
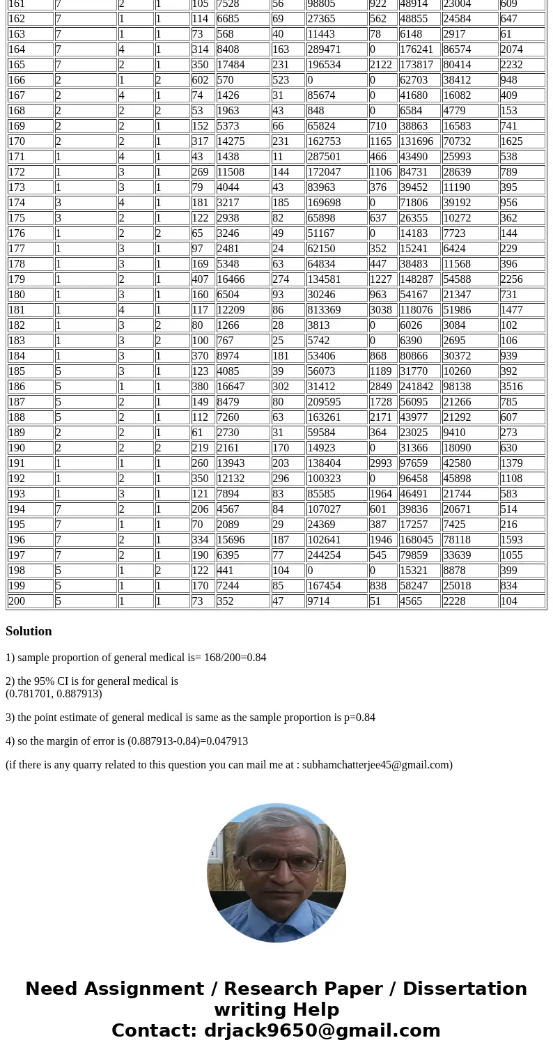
| 161 | 7 | 2 | 1 | 105 | 7528 | 56 | 98805 | 922 | 48914 | 23004 | 609 |
| 162 | 7 | 1 | 1 | 114 | 6685 | 69 | 27365 | 562 | 48855 | 24584 | 647 |
| 163 | 7 | 1 | 1 | 73 | 568 | 40 | 11443 | 78 | 6148 | 2917 | 61 |
| 164 | 7 | 4 | 1 | 314 | 8408 | 163 | 289471 | 0 | 176241 | 86574 | 2074 |
| 165 | 7 | 2 | 1 | 350 | 17484 | 231 | 196534 | 2122 | 173817 | 80414 | 2232 |
| 166 | 2 | 1 | 2 | 602 | 570 | 523 | 0 | 0 | 62703 | 38412 | 948 |
| 167 | 2 | 4 | 1 | 74 | 1426 | 31 | 85674 | 0 | 41680 | 16082 | 409 |
| 168 | 2 | 2 | 2 | 53 | 1963 | 43 | 848 | 0 | 6584 | 4779 | 153 |
| 169 | 2 | 2 | 1 | 152 | 5373 | 66 | 65824 | 710 | 38863 | 16583 | 741 |
| 170 | 2 | 2 | 1 | 317 | 14275 | 231 | 162753 | 1165 | 131696 | 70732 | 1625 |
| 171 | 1 | 4 | 1 | 43 | 1438 | 11 | 287501 | 466 | 43490 | 25993 | 538 |
| 172 | 1 | 3 | 1 | 269 | 11508 | 144 | 172047 | 1106 | 84731 | 28639 | 789 |
| 173 | 1 | 3 | 1 | 79 | 4044 | 43 | 83963 | 376 | 39452 | 11190 | 395 |
| 174 | 3 | 4 | 1 | 181 | 3217 | 185 | 169698 | 0 | 71806 | 39192 | 956 |
| 175 | 3 | 2 | 1 | 122 | 2938 | 82 | 65898 | 637 | 26355 | 10272 | 362 |
| 176 | 1 | 2 | 2 | 65 | 3246 | 49 | 51167 | 0 | 14183 | 7723 | 144 |
| 177 | 1 | 3 | 1 | 97 | 2481 | 24 | 62150 | 352 | 15241 | 6424 | 229 |
| 178 | 1 | 3 | 1 | 169 | 5348 | 63 | 64834 | 447 | 38483 | 11568 | 396 |
| 179 | 1 | 2 | 1 | 407 | 16466 | 274 | 134581 | 1227 | 148287 | 54588 | 2256 |
| 180 | 1 | 3 | 1 | 160 | 6504 | 93 | 30246 | 963 | 54167 | 21347 | 731 |
| 181 | 1 | 4 | 1 | 117 | 12209 | 86 | 813369 | 3038 | 118076 | 51986 | 1477 |
| 182 | 1 | 3 | 2 | 80 | 1266 | 28 | 3813 | 0 | 6026 | 3084 | 102 |
| 183 | 1 | 3 | 2 | 100 | 767 | 25 | 5742 | 0 | 6390 | 2695 | 106 |
| 184 | 1 | 3 | 1 | 370 | 8974 | 181 | 53406 | 868 | 80866 | 30372 | 939 |
| 185 | 5 | 3 | 1 | 123 | 4085 | 39 | 56073 | 1189 | 31770 | 10260 | 392 |
| 186 | 5 | 1 | 1 | 380 | 16647 | 302 | 31412 | 2849 | 241842 | 98138 | 3516 |
| 187 | 5 | 2 | 1 | 149 | 8479 | 80 | 209595 | 1728 | 56095 | 21266 | 785 |
| 188 | 5 | 2 | 1 | 112 | 7260 | 63 | 163261 | 2171 | 43977 | 21292 | 607 |
| 189 | 2 | 2 | 1 | 61 | 2730 | 31 | 59584 | 364 | 23025 | 9410 | 273 |
| 190 | 2 | 2 | 2 | 219 | 2161 | 170 | 14923 | 0 | 31366 | 18090 | 630 |
| 191 | 1 | 1 | 1 | 260 | 13943 | 203 | 138404 | 2993 | 97659 | 42580 | 1379 |
| 192 | 1 | 2 | 1 | 350 | 12132 | 296 | 100323 | 0 | 96458 | 45898 | 1108 |
| 193 | 1 | 3 | 1 | 121 | 7894 | 83 | 85585 | 1964 | 46491 | 21744 | 583 |
| 194 | 7 | 2 | 1 | 206 | 4567 | 84 | 107027 | 601 | 39836 | 20671 | 514 |
| 195 | 7 | 1 | 1 | 70 | 2089 | 29 | 24369 | 387 | 17257 | 7425 | 216 |
| 196 | 7 | 2 | 1 | 334 | 15696 | 187 | 102641 | 1946 | 168045 | 78118 | 1593 |
| 197 | 7 | 2 | 1 | 190 | 6395 | 77 | 244254 | 545 | 79859 | 33639 | 1055 |
| 198 | 5 | 1 | 2 | 122 | 441 | 104 | 0 | 0 | 15321 | 8878 | 399 |
| 199 | 5 | 1 | 1 | 170 | 7244 | 85 | 167454 | 838 | 58247 | 25018 | 834 |
| 200 | 5 | 1 | 1 | 73 | 352 | 47 | 9714 | 51 | 4565 | 2228 | 104 |
Solution
1) sample proportion of general medical is= 168/200=0.84
2) the 95% CI is for general medical is
(0.781701, 0.887913)
3) the point estimate of general medical is same as the sample proportion is p=0.84
4) so the margin of error is (0.887913-0.84)=0.047913
(if there is any quarry related to this question you can mail me at : subhamchatterjee45@gmail.com)





