Isabel Lopez started Biz Consulting a new business and compl

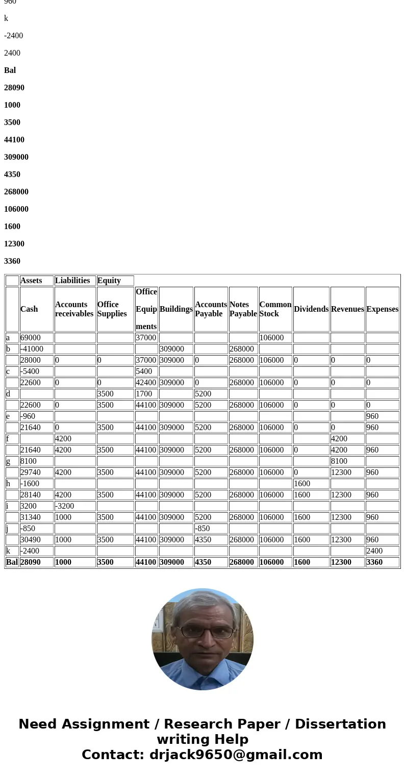
Isabel Lopez started Biz Consulting, a new business, and completed the following transactions during its first year of operations a. I. Lopez invests $69,000 cash and office equipment valued at $37,000 in the company in exchange for its common stock b. The company purchased a $309,000 building to use as an office. Biz paid $41,000 in cash and signed a note payable promising to pay the $268,000 balance over the next ten years. c. The company purchased office equipment for $5,400 cash. d. The company purchased $3,500 of office supplies and $1,700 of office equipment on credit. e. The company paid a local newspaper $960 cash for printing an announcement of the office\'s opening. f. The company completed a financial plan for a client and billed that client $4,200 for the service g. The company designed a financial plan for another client and immediately collected an $8.100 cash fe h. The company paid $1,600 cash in dividends to the owner . The company received $3.200 cash as partial payment from the client described in transaction f payment of $850 cash on the equipment purchased in transaction d k. The company paid $2.400 cash for the office secretary\'s wages for this period. Required: 2. Enter the amount of each transaction on individual items of the accounting equation. (Enter reductions to account balances with a minus sign.) Assets Office Office Accounts

Solution

Answer

Assets

Liabilities

Equity

Cash

Accounts receivables

Office Supplies

Office

Equip

ments

Buildings

Accounts Payable

Notes Payable

Common Stock

Dividends

Revenues

Expenses

a

69000

37000

106000

b

-41000

309000

268000

28000

0

0

37000

309000

0

268000

106000

0

0

0

c

-5400

5400

22600

0

0

42400

309000

0

268000

106000

0

0

0

d

3500

1700

5200

22600

0

3500

44100

309000

5200

268000

106000

0

0

0

e

-960

960

21640

0

3500

44100

309000

5200

268000

106000

0

0

960

f

4200

4200

21640

4200

3500

44100

309000

5200

268000

106000

0

4200

960

g

8100

8100

29740

4200

3500

44100

309000

5200

268000

106000

0

12300

960

h

-1600

1600

28140

4200

3500

44100

309000

5200

268000

106000

1600

12300

960

i

3200

-3200

31340

1000

3500

44100

309000

5200

268000

106000

1600

12300

960

j

-850

-850

30490

1000

3500

44100

309000

4350

268000

106000

1600

12300

960

k

-2400

2400

Bal

28090

1000

3500

44100

309000

4350

268000

106000

1600

12300

3360

Assets

Liabilities

Equity

Cash

Accounts receivables

Office Supplies

Office

Equip

ments

Buildings

Accounts Payable

Notes Payable

Common Stock

Dividends

Revenues

Expenses

a

69000

37000

106000

b

-41000

309000

268000

28000

0

0

37000

309000

0

268000

106000

0

0

0

c

-5400

5400

22600

0

0

42400

309000

0

268000

106000

0

0

0

d

3500

1700

5200

22600

0

3500

44100

309000

5200

268000

106000

0

0

0

e

-960

960

21640

0

3500

44100

309000

5200

268000

106000

0

0

960

f

4200

4200

21640

4200

3500

44100

309000

5200

268000

106000

0

4200

960

g

8100

8100

29740

4200

3500

44100

309000

5200

268000

106000

0

12300

960

h

-1600

1600

28140

4200

3500

44100

309000

5200

268000

106000

1600

12300

960

i

3200

-3200

31340

1000

3500

44100

309000

5200

268000

106000

1600

12300

960

j

-850

-850

30490

1000

3500

44100

309000

4350

268000

106000

1600

12300

960

k

-2400

2400

Bal

28090

1000

3500

44100

309000

4350

268000

106000

1600

12300

3360

 Isabel Lopez started Biz Consulting, a new business, and completed the following transactions during its first year of operations a. I. Lopez invests $69,000 c
 Isabel Lopez started Biz Consulting, a new business, and completed the following transactions during its first year of operations a. I. Lopez invests $69,000 c
 Isabel Lopez started Biz Consulting, a new business, and completed the following transactions during its first year of operations a. I. Lopez invests $69,000 c
 Isabel Lopez started Biz Consulting, a new business, and completed the following transactions during its first year of operations a. I. Lopez invests $69,000 c
 Isabel Lopez started Biz Consulting, a new business, and completed the following transactions during its first year of operations a. I. Lopez invests $69,000 c
 Isabel Lopez started Biz Consulting, a new business, and completed the following transactions during its first year of operations a. I. Lopez invests $69,000 c

Get Help Now

Submit a Take Down Notice

Tutor
Tutor: Dr Jack
Most rated tutor on our site