Assume that there is only one Movie theater in Suffolk Count
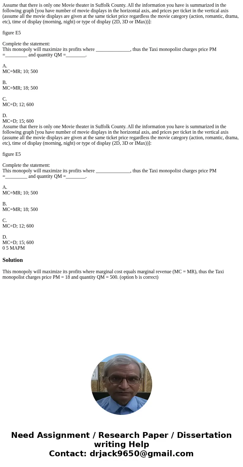
Assume that there is only one Movie theater in Suffolk County. All the information you have is summarized in the following graph [you have number of movie displays in the horizontal axis, and prices per ticket in the vertical axis (assume all the movie displays are given at the same ticket price regardless the movie category (action, romantic, drama, etc), time of display (morning, night) or type of display (2D, 3D or IMax))]:
figure E5
Complete the statement:
This monopoly will maximize its profits where ______________, thus the Taxi monopolist charges price PM =_________ and quantity QM =________.
A.
MC=MR; 10; 500
B.
MC=MR; 18; 500
C.
MC=D; 12; 600
D.
MC=D; 15; 600
Assume that there is only one Movie theater in Suffolk County. All the information you have is summarized in the following graph [you have number of movie displays in the horizontal axis, and prices per ticket in the vertical axis (assume all the movie displays are given at the same ticket price regardless the movie category (action, romantic, drama, etc), time of display (morning, night) or type of display (2D, 3D or IMax))]:
figure E5
Complete the statement:
This monopoly will maximize its profits where ______________, thus the Taxi monopolist charges price PM =_________ and quantity QM =________.
A.
MC=MR; 10; 500
B.
MC=MR; 18; 500
C.
MC=D; 12; 600
D.
MC=D; 15; 600
0 5 MAPM Solution
This monopoly will maximize its profits where marginal cost equals marginal revenue (MC = MR), thus the Taxi monopolist charges price PM = 18 and quantity QM = 500. (option b is correct)
