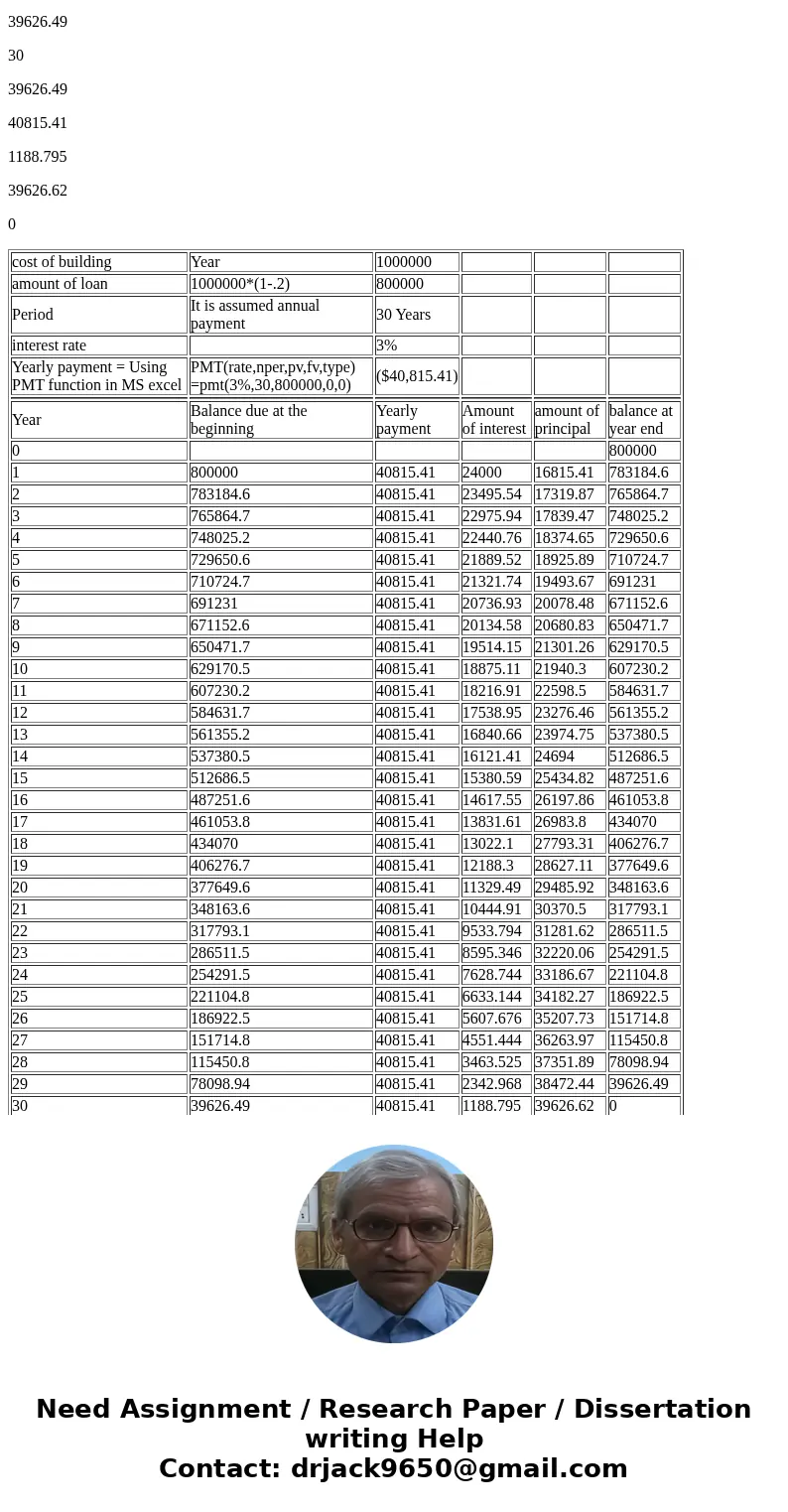
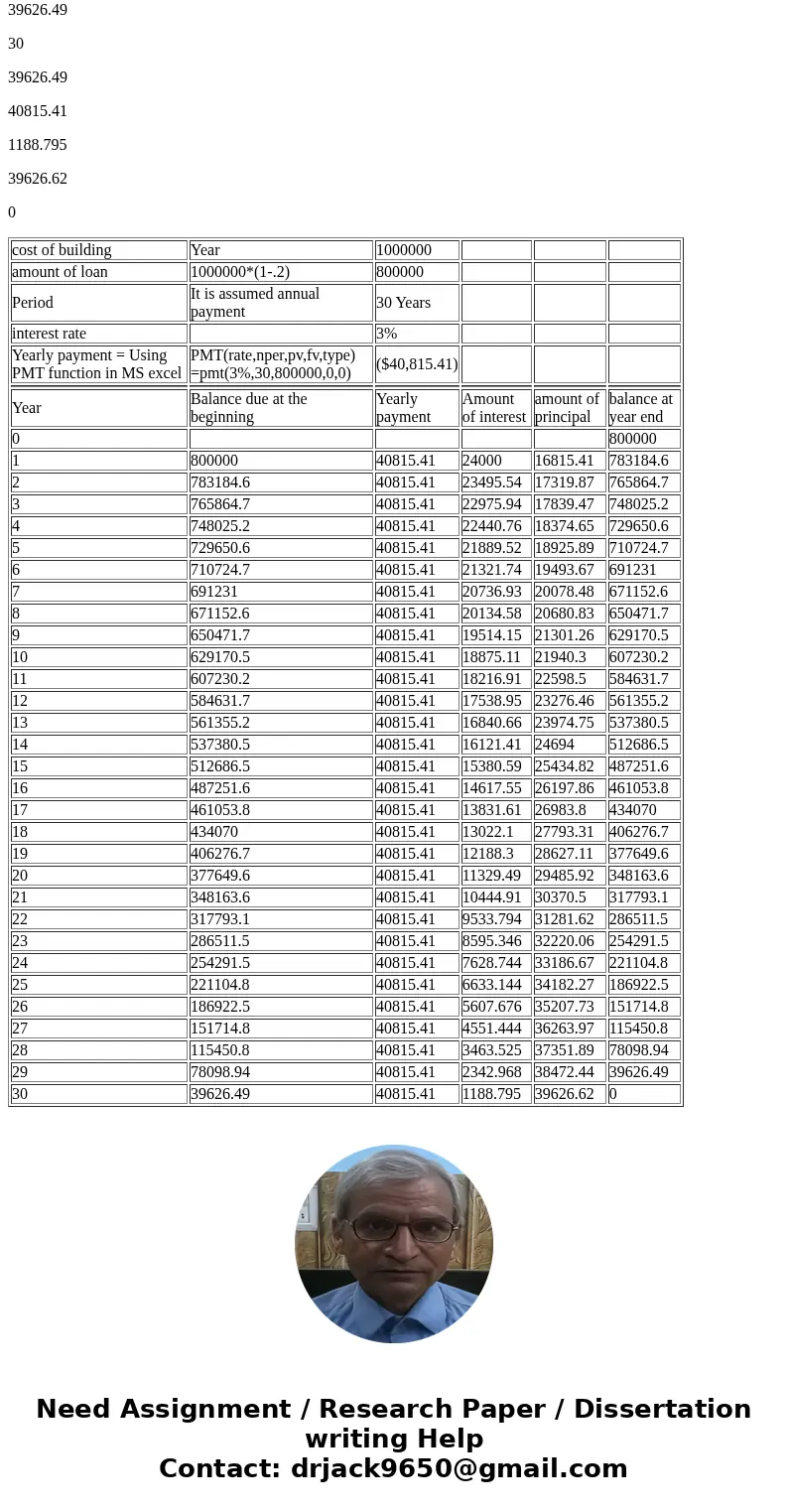
Visionary Products purchased a building for 1000000 with 20
Visionary Products purchased a building for $1,000,000 with 20% cash down payment and the remainder paid in installments with 3% interest. Using excel, prepare an amortization schedule for the mortgage. I guess its okay to assume 30 year.
Solution
cost of building
Year
1000000
amount of loan
1000000*(1-.2)
800000
Period
It is assumed annual payment
30 Years
interest rate
3%
Yearly payment = Using PMT function in MS excel
PMT(rate,nper,pv,fv,type) =pmt(3%,30,800000,0,0)
($40,815.41)
Year
Balance due at the beginning
Yearly payment
Amount of interest
amount of principal
balance at year end
0
800000
1
800000
40815.41
24000
16815.41
783184.6
2
783184.6
40815.41
23495.54
17319.87
765864.7
3
765864.7
40815.41
22975.94
17839.47
748025.2
4
748025.2
40815.41
22440.76
18374.65
729650.6
5
729650.6
40815.41
21889.52
18925.89
710724.7
6
710724.7
40815.41
21321.74
19493.67
691231
7
691231
40815.41
20736.93
20078.48
671152.6
8
671152.6
40815.41
20134.58
20680.83
650471.7
9
650471.7
40815.41
19514.15
21301.26
629170.5
10
629170.5
40815.41
18875.11
21940.3
607230.2
11
607230.2
40815.41
18216.91
22598.5
584631.7
12
584631.7
40815.41
17538.95
23276.46
561355.2
13
561355.2
40815.41
16840.66
23974.75
537380.5
14
537380.5
40815.41
16121.41
24694
512686.5
15
512686.5
40815.41
15380.59
25434.82
487251.6
16
487251.6
40815.41
14617.55
26197.86
461053.8
17
461053.8
40815.41
13831.61
26983.8
434070
18
434070
40815.41
13022.1
27793.31
406276.7
19
406276.7
40815.41
12188.3
28627.11
377649.6
20
377649.6
40815.41
11329.49
29485.92
348163.6
21
348163.6
40815.41
10444.91
30370.5
317793.1
22
317793.1
40815.41
9533.794
31281.62
286511.5
23
286511.5
40815.41
8595.346
32220.06
254291.5
24
254291.5
40815.41
7628.744
33186.67
221104.8
25
221104.8
40815.41
6633.144
34182.27
186922.5
26
186922.5
40815.41
5607.676
35207.73
151714.8
27
151714.8
40815.41
4551.444
36263.97
115450.8
28
115450.8
40815.41
3463.525
37351.89
78098.94
29
78098.94
40815.41
2342.968
38472.44
39626.49
30
39626.49
40815.41
1188.795
39626.62
0
| cost of building | Year | 1000000 | |||
| amount of loan | 1000000*(1-.2) | 800000 | |||
| Period | It is assumed annual payment | 30 Years | |||
| interest rate | 3% | ||||
| Yearly payment = Using PMT function in MS excel | PMT(rate,nper,pv,fv,type) =pmt(3%,30,800000,0,0) | ($40,815.41) | |||
| Year | Balance due at the beginning | Yearly payment | Amount of interest | amount of principal | balance at year end |
| 0 | 800000 | ||||
| 1 | 800000 | 40815.41 | 24000 | 16815.41 | 783184.6 |
| 2 | 783184.6 | 40815.41 | 23495.54 | 17319.87 | 765864.7 |
| 3 | 765864.7 | 40815.41 | 22975.94 | 17839.47 | 748025.2 |
| 4 | 748025.2 | 40815.41 | 22440.76 | 18374.65 | 729650.6 |
| 5 | 729650.6 | 40815.41 | 21889.52 | 18925.89 | 710724.7 |
| 6 | 710724.7 | 40815.41 | 21321.74 | 19493.67 | 691231 |
| 7 | 691231 | 40815.41 | 20736.93 | 20078.48 | 671152.6 |
| 8 | 671152.6 | 40815.41 | 20134.58 | 20680.83 | 650471.7 |
| 9 | 650471.7 | 40815.41 | 19514.15 | 21301.26 | 629170.5 |
| 10 | 629170.5 | 40815.41 | 18875.11 | 21940.3 | 607230.2 |
| 11 | 607230.2 | 40815.41 | 18216.91 | 22598.5 | 584631.7 |
| 12 | 584631.7 | 40815.41 | 17538.95 | 23276.46 | 561355.2 |
| 13 | 561355.2 | 40815.41 | 16840.66 | 23974.75 | 537380.5 |
| 14 | 537380.5 | 40815.41 | 16121.41 | 24694 | 512686.5 |
| 15 | 512686.5 | 40815.41 | 15380.59 | 25434.82 | 487251.6 |
| 16 | 487251.6 | 40815.41 | 14617.55 | 26197.86 | 461053.8 |
| 17 | 461053.8 | 40815.41 | 13831.61 | 26983.8 | 434070 |
| 18 | 434070 | 40815.41 | 13022.1 | 27793.31 | 406276.7 |
| 19 | 406276.7 | 40815.41 | 12188.3 | 28627.11 | 377649.6 |
| 20 | 377649.6 | 40815.41 | 11329.49 | 29485.92 | 348163.6 |
| 21 | 348163.6 | 40815.41 | 10444.91 | 30370.5 | 317793.1 |
| 22 | 317793.1 | 40815.41 | 9533.794 | 31281.62 | 286511.5 |
| 23 | 286511.5 | 40815.41 | 8595.346 | 32220.06 | 254291.5 |
| 24 | 254291.5 | 40815.41 | 7628.744 | 33186.67 | 221104.8 |
| 25 | 221104.8 | 40815.41 | 6633.144 | 34182.27 | 186922.5 |
| 26 | 186922.5 | 40815.41 | 5607.676 | 35207.73 | 151714.8 |
| 27 | 151714.8 | 40815.41 | 4551.444 | 36263.97 | 115450.8 |
| 28 | 115450.8 | 40815.41 | 3463.525 | 37351.89 | 78098.94 |
| 29 | 78098.94 | 40815.41 | 2342.968 | 38472.44 | 39626.49 |
| 30 | 39626.49 | 40815.41 | 1188.795 | 39626.62 | 0 |







