I am tyrying to run a forecasting model to determine if the
I am tyrying to run a forecasting model to determine if the Oakland Raiders will have a winning season (50% or better).
What factors are most imortant in determining if they will have a winning season? How do you run this data through excel to determine this? I need to have a confidence level as well.
Thanks,
| Year | W | L | T | Win % | Pts | Yds | Pts | Yds | Takeaway/giveaway rank | Pts rank lower is better | Yds rank lower is better | # of teams | Margin of victory | Strength of schedule | OSRS-off strength | DSRS-def strength | 
| 2014 | 3 | 13 | 0 | 18.75% | 31 | 32 | 32 | 21 | 32 | 32 | 30 | 32 | -12.4 | 3.4 | -4.3 | -4.7 | 
| 2013 | 4 | 12 | 0 | 25.00% | 24 | 23 | 29 | 22 | 27 | 29 | 24 | 32 | -8.2 | 0.2 | -3.8 | -4.2 | 
| 2012 | 4 | 12 | 0 | 25.00% | 26 | 18 | 28 | 18 | 23 | 29 | 17 | 32 | -9.6 | -1.3 | -4.6 | -6.2 | 
| 2011 | 8 | 8 | 0 | 50.00% | 16 | 9 | 29 | 29 | 22 | 23 | 18 | 32 | -4.6 | -0.3 | 0.2 | -5.1 | 
| 2010 | 8 | 8 | 0 | 50.00% | 6 | 10 | 20 | 11 | 17 | 14 | 9 | 32 | 2.4 | -2.3 | 2.3 | -2.2 | 
| 2009 | 5 | 11 | 0 | 31.25% | 31 | 31 | 23 | 26 | 30 | 30 | 31 | 32 | -11.4 | 1.1 | -8.7 | -1.6 | 
| 2008 | 5 | 11 | 0 | 31.25% | 29 | 29 | 24 | 27 | 15 | 28 | 29 | 32 | -7.8 | 0.3 | -6.5 | -1 | 
| 2007 | 4 | 12 | 0 | 25.00% | 23 | 25 | 26 | 22 | 28 | 28 | 26 | 32 | -7.2 | 1.2 | -3.5 | -2.5 | 
| 2006 | 2 | 14 | 0 | 12.50% | 32 | 32 | 18 | 3 | 32 | 32 | 26 | 32 | -10.3 | 0.6 | -10.3 | 0.7 | 
| 2005 | 4 | 12 | 0 | 25.00% | 23 | 21 | 25 | 27 | 18 | 26 | 24 | 32 | -5.8 | 3 | -1.2 | -1.6 | 
| 2004 | 5 | 11 | 0 | 31.25% | 18 | 17 | 31 | 30 | 29 | 31 | 29 | 32 | -7.6 | 3.4 | -0.6 | -3.7 | 
| 2003 | 4 | 12 | 0 | 25.00% | 26 | 25 | 25 | 30 | 18 | 26 | 30 | 32 | -6.8 | 1.3 | -4.2 | -1.3 | 
| 2002 | 11 | 5 | 0 | 68.75% | 2 | 1 | 6 | 11 | 5 | 3 | 2 | 32 | 9.1 | 1.5 | 6.3 | 4.3 | 
| 2001 | 10 | 6 | 0 | 62.50% | 4 | 7 | 19 | 18 | 16 | 8 | 9 | 31 | 4.5 | -0.9 | 4 | -0.4 | 
| 2000 | 12 | 4 | 0 | 75.00% | 3 | 6 | 9 | 17 | 3 | 1 | 12 | 31 | 11.3 | -1.5 | 8 | 1.8 | 
| 1999 | 8 | 8 | 0 | 50.00% | 8 | 5 | 16 | 10 | 11 | 10 | 4 | 31 | 3.8 | 2.9 | 5.7 | 1 | 
| 1998 | 8 | 8 | 0 | 50.00% | 22 | 18 | 20 | 5 | 24 | 21 | 12 | 30 | -4.3 | -1.4 | -4.1 | -1.5 | 
| 1997 | 4 | 12 | 0 | 25.00% | 17 | 13 | 28 | 30 | 18 | 26 | 30 | 30 | -5.9 | 0.8 | -0.1 | -5 | 
| 1996 | 7 | 9 | 0 | 43.75% | 12 | 8 | 8 | 8 | 21 | 9 | 7 | 30 | 2.9 | -0.5 | 0.3 | 2.1 | 
| 1995 | 8 | 8 | 0 | 50.00% | 15 | 11 | 10 | 11 | 16 | 12 | 10 | 30 | 1 | 1.1 | 1.1 | 1 | 
| 1994 | 9 | 7 | 0 | 56.25% | 19 | 19 | 17 | 10 | 22 | 15 | 14 | 28 | -1.5 | -0.1 | -1.9 | 0.3 | 
| 1993 | 10 | 6 | 0 | 62.50% | 14 | 13 | 21 | 9 | 18 | 18 | 10 | 28 | -1.3 | 0.6 | 1.1 | -1.7 | 
| 1992 | 7 | 9 | 0 | 43.75% | 23 | 23 | 11 | 9 | 28 | 15 | 14 | 28 | -2 | 0.4 | -3.2 | 1.5 | 
| 1991 | 9 | 7 | 0 | 56.25% | 15 | 23 | 12 | 21 | 11 | 15 | 24 | 28 | 0.1 | 1.3 | 0.3 | 1.1 | 
| 1990 | 12 | 4 | 0 | 75.00% | 13 | 19 | 7 | 4 | 14 | 9 | 13 | 28 | 4.3 | 2.2 | 2.2 | 4.4 | 
| 1989 | 8 | 8 | 0 | 50.00% | 18 | 19 | 10 | 10 | 16 | 13 | 16 | 28 | 1.1 | 0.7 | 0 | 1.9 | 
| 1988 | 7 | 9 | 0 | 43.75% | 16 | 19 | 23 | 19 | 12 | 18 | 21 | 28 | -2.8 | -0.8 | -0.3 | -3.3 | 
| 1987 | 5 | 10 | 0 | 33.33% | 17 | 7 | 8 | 5 | 16 | 11 | 3 | 28 | 0.8 | -0.8 | -1.6 | 1.7 | 
| 1986 | 8 | 8 | 0 | 50.00% | 16 | 14 | 19 | 3 | 24 | 18 | 6 | 28 | -1.4 | 1.6 | 0 | 0.2 | 
| 1985 | 12 | 4 | 0 | 75.00% | 12 | 11 | 9 | 4 | 24 | 9 | 5 | 28 | 2.9 | 1.5 | 0.7 | 3.7 | 
| 1984 | 11 | 5 | 0 | 68.75% | 9 | 15 | 4 | 3 | 27 | 6 | 5 | 28 | 5.6 | 1.2 | 2.1 | 4.8 | 
| 1983 | 12 | 4 | 0 | 75.00% | 3 | 7 | 13 | 4 | 23 | 5 | 2 | 28 | 6.5 | 0.3 | 5.1 | 1.7 | 
| 1982 | 8 | 1 | 0 | 88.89% | 2 | 10 | 22 | 22 | 5 | 6 | 16 | 28 | 6.7 | -1.5 | 6.1 | -0.9 | 
| 1981 | 7 | 9 | 0 | 43.75% | 25 | 21 | 15 | 21 | 26 | 22 | 21 | 28 | -4.4 | 0.7 | -3.6 | 0 | 
| 1980 | 11 | 5 | 0 | 68.75% | 7 | 16 | 10 | 11 | 6 | 9 | 13 | 28 | 3.6 | 0.6 | 2.9 | 1.3 | 
| 1979 | 9 | 7 | 0 | 56.25% | 7 | 11 | 17 | 21 | 6 | 11 | 20 | 28 | 1.8 | 2 | 3.8 | 0 | 
| 1978 | 9 | 7 | 0 | 56.25% | 10 | 10 | 10 | 16 | 13 | 8 | 10 | 28 | 1.8 | 0.9 | 1.6 | 1.1 | 
| 1977 | 11 | 3 | 0 | 78.57% | 1 | 2 | 14 | 15 | 6 | 4 | 4 | 28 | 8.6 | 1.7 | 8.8 | 1.6 | 
| 1976 | 13 | 1 | 0 | 92.86% | 4 | 2 | 12 | 18 | 19 | 7 | 7 | 28 | 8.1 | 0.4 | 6.3 | 2.2 | 
| 1975 | 11 | 3 | 0 | 78.57% | 4 | 4 | 7 | 3 | 17 | 6 | 2 | 26 | 8.6 | -1.8 | 5.5 | 1.3 | 
| 1974 | 12 | 2 | 0 | 85.71% | 1 | 2 | 9 | 16 | 2 | 1 | 7 | 26 | 9.1 | -0.1 | 6.4 | 2.7 | 
| 1973 | 9 | 4 | 1 | 69.23% | 10 | 3 | 3 | 2 | 15 | 7 | 2 | 26 | 8.4 | -1.7 | 0 | 6.7 | 
| 1972 | 10 | 3 | 1 | 76.92% | 3 | 3 | 8 | 12 | 8 | 4 | 2 | 26 | 8.4 | -0.3 | 5 | 3 | 
| 1971 | 8 | 4 | 2 | 66.67% | 2 | 7 | 14 | 16 | 12 | 8 | 13 | 26 | 4.7 | -1 | 4.8 | -1.1 | 
| 1970 | 8 | 4 | 2 | 66.67% | 9 | 1 | 19 | 19 | 16 | 13 | 4 | 26 | 0.5 | 0.5 | 2.3 | -1.3 | 
| 1969 | 12 | 1 | 1 | 92.31% | 1 | 1 | 2 | 2 | 2 | 2 | 2 | 10 | 9.6 | -0.6 | 5.6 | 3.4 | 
| 1968 | 12 | 2 | 0 | 85.71% | 1 | 1 | 2 | 3 | 4 | 1 | 2 | 10 | 15.7 | -1.4 | 10 | 4.3 | 
| 1967 | 13 | 1 | 0 | 92.86% | 1 | 3 | 2 | 1 | 4 | 1 | 1 | 9 | 16.8 | -1.5 | 9.8 | 5.5 | 
| 1966 | 8 | 5 | 1 | 61.54% | 6 | 4 | 5 | 1 | 5 | 5 | 2 | 9 | 1.9 | -0.8 | -0.8 | 1.9 | 
| 1965 | 8 | 5 | 1 | 61.54% | 5 | 5 | 3 | 4 | 2 | 3 | 5 | 8 | 4.2 | -0.5 | -0.8 | 4.5 | 
| 1964 | 5 | 7 | 2 | 41.67% | 6 | 2 | 6 | 5 | 8 | 7 | 5 | 8 | -3.4 | 0.4 | -1.4 | -1.6 | 
| 1963 | 10 | 4 | 0 | 71.43% | 2 | 3 | 4 | 2 | 1 | 3 | 3 | 8 | 5.8 | -0.7 | 2.4 | 2.7 | 
| 1962 | 1 | 13 | 0 | 7.14% | 8 | 8 | 6 | 8 | 4 | 8 | 8 | 8 | -11.2 | 1.4 | -7.6 | -2.2 | 
| 1961 | 2 | 12 | 0 | 14.29% | 8 | 8 | 8 | 8 | 7 | 8 | 8 | 8 | -15.8 | 2 | -6.5 | -7.3 | 
| 1960 | 6 | 8 | 0 | 42.86% | 5 | 4 | 6 | 7 | 6 | 7 | 6 | 8 | -4.9 | 0.6 | -0.9 | -3.4 | 
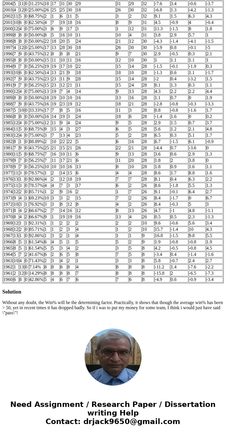
Solution
Without any doubt, the Win% will be the determining factor. Practically, it shows that though the average win% has been > 50, yet in recent times it has dropped badly. So if i was to put my money for some team, I think i would just have said \"pass\"!


